М
Молодежь
К
Компьютеры-и-электроника
Д
Дом-и-сад
С
Стиль-и-уход-за-собой
П
Праздники-и-традиции
Т
Транспорт
П
Путешествия
С
Семейная-жизнь
Ф
Философия-и-религия
Б
Без категории
М
Мир-работы
Х
Хобби-и-рукоделие
И
Искусство-и-развлечения
В
Взаимоотношения
З
Здоровье
К
Кулинария-и-гостеприимство
Ф
Финансы-и-бизнес
П
Питомцы-и-животные
О
Образование
О
Образование-и-коммуникации
Аэлита987
Аэлита987
24.03.2021 20:13 •  Математика

Найти площади фигур,ограниченных линиями. y= x2(в квадрате) -2x+2 ; y=x

👇
Ответ:
Аня8785
Аня8785
24.03.2021
Площадь фигуры будет равна разности определенных интегралов.
Пределы интегрирования берем с графика (от 1 до 2) или решаем аналитически уравнение x^{2} -2x+2 = x
 
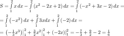
S = \int\limits^2_1 {x} \, dx - \int\limits^2_1 {( x^{2} -2x+2)} \, dx = \int\limits^2_1 {(- x^{2} +3x-2)} \, dx = \\ \\ = {\int\limits_{1}^{2}\left({- {{x}^{2}}}\right){d}{x}}+{\int\limits_{1}^{2}{3 x}{d}{x}}+{\int\limits_{1}^{2}\left({-2}\right){d}{x}} = \\ \\ = {\left.\left({-\frac{1}{3} {{x}^{3}}}\right)\right|_{1}^{2}} + {\left.{\frac{3}{2} {{x}^{2}}}\right|_{1}^{2}} + {\left.\left({-2 x}\right)\right|_{1}^{2}} = -\frac{7}{3} + \frac{9}{2} -2 = \frac{1}{6}
 
Найти площади фигур,ограниченных линиями. y= x2(в квадрате) -2x+2 ; y=x
4,5(1 оценок)
Открыть все ответы
Ответ:
Аришка8668
Аришка8668
24.03.2021
1)Длина внешней окружности колеса машины равна 2 целая 2\5 м.Сколько оборотов совершит колесо ,если машина проедет 108 км? 108:2 2/5=108*5/12=45 оборотов совершит колесо; /// 2)Трамвай за 2\3 ч проезжает расстояние 10 целых 1\6 км. Найдите скорость трамвая. 10 1/6:2/3= 61/6*3/2=62/4=15 2/4=15 1/2 или 15,5 км/ч скорость трамвая; 3)Расстояние до назначенного пункта туристы за два дня. В первый день они на 3\7 больше,чем во второй день.КАКУЮ ЧАСТЬ НАЗНАЧЕННОГО РАССТОЯНИЯ туристы в первый день,какую часть во второй день? Пусть туристы во второй день х; в первый день х+3/7; всего 1 целую за 2 дня; 1)х+х+3/7=1/1; 2х=1/1-3/7; 2х=7/7-3/7; 2х=4/7; х=4/7*1/2; х=2/7 часть во второй день; 2)2/7+3/7=5/7 часть в первый день.
4,4(73 оценок)
Ответ:
яяя612
яяя612
24.03.2021
1)Длина внешней окружности колеса машины равна 2 целая 2\5 м.Сколько оборотов совершит колесо ,если машина проедет 108 км? 108:2 2/5=108*5/12=45 оборотов совершит колесо; /// 2)Трамвай за 2\3 ч проезжает расстояние 10 целых 1\6 км. Найдите скорость трамвая. 10 1/6:2/3= 61/6*3/2=62/4=15 2/4=15 1/2 или 15,5 км/ч скорость трамвая; 3)Расстояние до назначенного пункта туристы за два дня. В первый день они на 3\7 больше,чем во второй день.КАКУЮ ЧАСТЬ НАЗНАЧЕННОГО РАССТОЯНИЯ туристы в первый день,какую часть во второй день? Пусть туристы во второй день х; в первый день х+3/7; всего 1 целую за 2 дня; 1)х+х+3/7=1/1; 2х=1/1-3/7; 2х=7/7-3/7; 2х=4/7; х=4/7*1/2; х=2/7 часть во второй день; 2)2/7+3/7=5/7 часть в первый день.
4,6(19 оценок)
Это интересно:
Новые ответы от MOGZ: Математика
logo
Вход Регистрация
Что ты хочешь узнать?
Спроси Mozg
Открыть лучший ответ