М
Молодежь
К
Компьютеры-и-электроника
Д
Дом-и-сад
С
Стиль-и-уход-за-собой
П
Праздники-и-традиции
Т
Транспорт
П
Путешествия
С
Семейная-жизнь
Ф
Философия-и-религия
Б
Без категории
М
Мир-работы
Х
Хобби-и-рукоделие
И
Искусство-и-развлечения
В
Взаимоотношения
З
Здоровье
К
Кулинария-и-гостеприимство
Ф
Финансы-и-бизнес
П
Питомцы-и-животные
О
Образование
О
Образование-и-коммуникации
svetburtseva20
svetburtseva20
06.09.2021 18:14 •  Математика

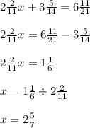
Решите уравнение 2 2/11x + 3 5/14 = 6 11/21

👇
Ответ:
ruhadzeulia1
ruhadzeulia1
06.09.2021
2 \frac{2}{11} x + 3 \frac{5}{14} = 6 \frac{11}{21} \\ \\ 2 \frac{2}{11} x = 6 \frac{11}{21} - 3 \frac{5}{14} \\ \\ 2\frac{2}{11} x = 1 \frac{1}{6} \\ \\ x = 1 \frac{1}{6} \div 2 \frac{2}{11} \\ \\ x = 2 \frac{5}{7}
4,7(28 оценок)
Открыть все ответы
Ответ:
Дінислам
Дінислам
06.09.2021
a-b\ \textgreater \ c-d
Всего есть 4 варианта увеличить числа: a и с, a и d, b и с, b и d.
Если увеличить числа а и с, то неравенство останется таким же с той лишь разницей, что к обоим частям прибавили по 1, истинность неравенства это не меняет.
(a+1)-b\ \textgreater \ (c+1)-d
Аналогично, при увеличении чисел b и d обе части неравенства уменьшатся на единицу, но истинность неравенства останется такой же.
a-(b+1)\ \textgreater \ c-(d+1)
Если увеличить числа а и d, то левая большая часть станет еще большей, а правая меньшая часть станет еще меньше, таким образом, неравенство станет еще строже и останется истинным.
(a+1)-b\ \textgreater \ c-(d+1)
Соответственно увеличивали числа b и c:
a-(b+1)\ \textgreater \ (c+1)-d\\\a-b-1\ \textgreater \ c+1-d\\\;a-b\ \textgreater \ c-d+2
Действие аналогично прибавлению 2 к правой части и именно оно изменило истинность неравенства
4,7(68 оценок)
Ответ:
nankasvanka
nankasvanka
06.09.2021
a-b\ \textgreater \ c-d
Всего есть 4 варианта увеличить числа: a и с, a и d, b и с, b и d.
Если увеличить числа а и с, то неравенство останется таким же с той лишь разницей, что к обоим частям прибавили по 1, истинность неравенства это не меняет.
(a+1)-b\ \textgreater \ (c+1)-d
Аналогично, при увеличении чисел b и d обе части неравенства уменьшатся на единицу, но истинность неравенства останется такой же.
a-(b+1)\ \textgreater \ c-(d+1)
Если увеличить числа а и d, то левая большая часть станет еще большей, а правая меньшая часть станет еще меньше, таким образом, неравенство станет еще строже и останется истинным.
(a+1)-b\ \textgreater \ c-(d+1)
Соответственно увеличивали числа b и c:
a-(b+1)\ \textgreater \ (c+1)-d\\\a-b-1\ \textgreater \ c+1-d\\\;a-b\ \textgreater \ c-d+2
Действие аналогично прибавлению 2 к правой части и именно оно изменило истинность неравенства
4,7(47 оценок)
Это интересно:
Новые ответы от MOGZ: Математика
logo
Вход Регистрация
Что ты хочешь узнать?
Спроси Mozg
Открыть лучший ответ