М
Молодежь
К
Компьютеры-и-электроника
Д
Дом-и-сад
С
Стиль-и-уход-за-собой
П
Праздники-и-традиции
Т
Транспорт
П
Путешествия
С
Семейная-жизнь
Ф
Философия-и-религия
Б
Без категории
М
Мир-работы
Х
Хобби-и-рукоделие
И
Искусство-и-развлечения
В
Взаимоотношения
З
Здоровье
К
Кулинария-и-гостеприимство
Ф
Финансы-и-бизнес
П
Питомцы-и-животные
О
Образование
О
Образование-и-коммуникации
Shavelko
Shavelko
05.07.2021 00:24 •  Математика

Найдите катет прямоугольного треугольника , если гипотенуза и другой катет равны: а) 5м и 3м, б) 5км и 4км

👇
Ответ:
Olegarxi
Olegarxi
05.07.2021
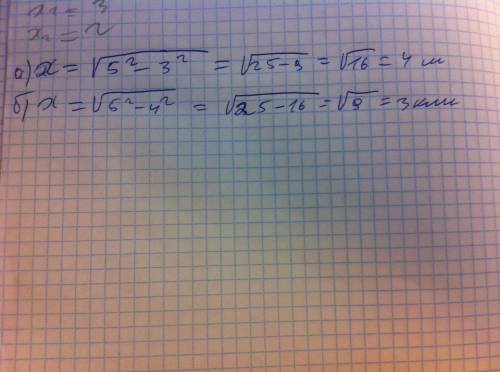
А) 4м
б)3 км 
решал по теореме пифагора  
 представим что неизвестный катет х 
х= 5 в квадрате и 3 в квадрате и всё это под корнем ( всё что после равно ) 
х= 25-9 под корнем = 16 под корнем= 4 без корня м

б) х=5 в квадрате и 4 в квадрате и всё это под корнем 
   х= 25-16 под корнем = 9 под корнем и= 3 без корня км 
Найдите катет прямоугольного треугольника , если гипотенуза и другой катет равны: а) 5м и 3м, б) 5км
4,5(21 оценок)
Ответ:
1) Решаем  по теореме Пифагора
а) 25-9-16 , извлекаем корень, будет 4 м

б) 25-16=9 , извлекаем корень , будет 3 км.
4,6(99 оценок)
Открыть все ответы
Ответ:
бека151
бека151
05.07.2021

-3-10х = 9 - 4х

1 - 5х = 7 - 2х

-6х = 12

Пошаговое объяснение:

Чтобы составить равносильное уравнение, можно

1) прибавить/отнять любое число к обеим частям уравнения

2 - 10х = 14 - 4х;    2-10х -5 = 14-4х -5  ⇒   -3-10х = 9 - 4х

2) умножить/разделить на любое числооби части уравнения

2 - 10х = 14 - 4х;  разделим на 2  ⇒ 1 - 5х = 7 - 2х

3) пе6ренести любые члены уравнения из одной части в другую со сменой знака этого члена уравнения

2 - 10х = 14 - 4х;   -10х +4х = 14 -2   ⇒ -6х = 12

Вот три уравнения равносильных исходному

4,8(32 оценок)
Ответ:
NekitGame225
NekitGame225
05.07.2021

1. 1 2/9 : 3 2/3 + 4 2/5 : (7/10 + 2 3/5) - (3/17 - 1 16/17 : 11) = 1 2/3

1 2/9 : 3 2/3 + 4 2/5 : (7/10 + 2 3/5) - (3/17 - 1 16/17 : 11) = 1 2/31) 1 2/9 : 3 2/3 = 11/9 : 11/3 = 11/9 * 3/11 = 3/9 = 1/3

1 2/9 : 3 2/3 + 4 2/5 : (7/10 + 2 3/5) - (3/17 - 1 16/17 : 11) = 1 2/31) 1 2/9 : 3 2/3 = 11/9 : 11/3 = 11/9 * 3/11 = 3/9 = 1/32) 7/10 + 2 3/5 = 7/10 + 2 6/10 = 2 13/10 = 3 3/10

1 2/9 : 3 2/3 + 4 2/5 : (7/10 + 2 3/5) - (3/17 - 1 16/17 : 11) = 1 2/31) 1 2/9 : 3 2/3 = 11/9 : 11/3 = 11/9 * 3/11 = 3/9 = 1/32) 7/10 + 2 3/5 = 7/10 + 2 6/10 = 2 13/10 = 3 3/103) 4 2/5 : 3 3/10 = 22/5 : 33/10 = 22/5 * 10/33 = (2*2)/(1*3) = 4/3 = 1 1/3

1 2/9 : 3 2/3 + 4 2/5 : (7/10 + 2 3/5) - (3/17 - 1 16/17 : 11) = 1 2/31) 1 2/9 : 3 2/3 = 11/9 : 11/3 = 11/9 * 3/11 = 3/9 = 1/32) 7/10 + 2 3/5 = 7/10 + 2 6/10 = 2 13/10 = 3 3/103) 4 2/5 : 3 3/10 = 22/5 : 33/10 = 22/5 * 10/33 = (2*2)/(1*3) = 4/3 = 1 1/34) 1 16/17 : 11 = 33/17 * 1/11 = (3*1)/(17*1) = 3/17

1 2/9 : 3 2/3 + 4 2/5 : (7/10 + 2 3/5) - (3/17 - 1 16/17 : 11) = 1 2/31) 1 2/9 : 3 2/3 = 11/9 : 11/3 = 11/9 * 3/11 = 3/9 = 1/32) 7/10 + 2 3/5 = 7/10 + 2 6/10 = 2 13/10 = 3 3/103) 4 2/5 : 3 3/10 = 22/5 : 33/10 = 22/5 * 10/33 = (2*2)/(1*3) = 4/3 = 1 1/34) 1 16/17 : 11 = 33/17 * 1/11 = (3*1)/(17*1) = 3/175) 3/17 - 3/17 = 0

1 2/9 : 3 2/3 + 4 2/5 : (7/10 + 2 3/5) - (3/17 - 1 16/17 : 11) = 1 2/31) 1 2/9 : 3 2/3 = 11/9 : 11/3 = 11/9 * 3/11 = 3/9 = 1/32) 7/10 + 2 3/5 = 7/10 + 2 6/10 = 2 13/10 = 3 3/103) 4 2/5 : 3 3/10 = 22/5 : 33/10 = 22/5 * 10/33 = (2*2)/(1*3) = 4/3 = 1 1/34) 1 16/17 : 11 = 33/17 * 1/11 = (3*1)/(17*1) = 3/175) 3/17 - 3/17 = 06) 1/3 + 1 1/3 = 1 2/3

1 2/9 : 3 2/3 + 4 2/5 : (7/10 + 2 3/5) - (3/17 - 1 16/17 : 11) = 1 2/31) 1 2/9 : 3 2/3 = 11/9 : 11/3 = 11/9 * 3/11 = 3/9 = 1/32) 7/10 + 2 3/5 = 7/10 + 2 6/10 = 2 13/10 = 3 3/103) 4 2/5 : 3 3/10 = 22/5 : 33/10 = 22/5 * 10/33 = (2*2)/(1*3) = 4/3 = 1 1/34) 1 16/17 : 11 = 33/17 * 1/11 = (3*1)/(17*1) = 3/175) 3/17 - 3/17 = 06) 1/3 + 1 1/3 = 1 2/37) 1 2/3 - 0 = 1 2/3

2. 5/6 + 2 3/4 : 4 8/9 * 2 2/3 - 1 2/3 + (5/38 * 1 1/3 - 10/57) = 2/3

5/6 + 2 3/4 : 4 8/9 * 2 2/3 - 1 2/3 + (5/38 * 1 1/3 - 10/57) = 2/31) 5/38 * 1 1/3= 5/38 * 4/3 = (5*2)/(19*3) = 10/57

5/6 + 2 3/4 : 4 8/9 * 2 2/3 - 1 2/3 + (5/38 * 1 1/3 - 10/57) = 2/31) 5/38 * 1 1/3= 5/38 * 4/3 = (5*2)/(19*3) = 10/572) 10/57 - 10/57 = 0

5/6 + 2 3/4 : 4 8/9 * 2 2/3 - 1 2/3 + (5/38 * 1 1/3 - 10/57) = 2/31) 5/38 * 1 1/3= 5/38 * 4/3 = (5*2)/(19*3) = 10/572) 10/57 - 10/57 = 03) 2 3/4 : 4 8/9 = 11/4 : 44/9 = 11/4 * 9/44 = (1*9)/(4*4) = 9/16

5/6 + 2 3/4 : 4 8/9 * 2 2/3 - 1 2/3 + (5/38 * 1 1/3 - 10/57) = 2/31) 5/38 * 1 1/3= 5/38 * 4/3 = (5*2)/(19*3) = 10/572) 10/57 - 10/57 = 03) 2 3/4 : 4 8/9 = 11/4 : 44/9 = 11/4 * 9/44 = (1*9)/(4*4) = 9/164) 9/16 * 2 2/3 = 9/16 * 8/3 = (3*1)/(2*1) = 3/2 = 1 1/2

5/6 + 2 3/4 : 4 8/9 * 2 2/3 - 1 2/3 + (5/38 * 1 1/3 - 10/57) = 2/31) 5/38 * 1 1/3= 5/38 * 4/3 = (5*2)/(19*3) = 10/572) 10/57 - 10/57 = 03) 2 3/4 : 4 8/9 = 11/4 : 44/9 = 11/4 * 9/44 = (1*9)/(4*4) = 9/164) 9/16 * 2 2/3 = 9/16 * 8/3 = (3*1)/(2*1) = 3/2 = 1 1/25) 5/6 + 1 1/2 = 5/6 + 1 3/6 = 1 8/6 = 2 2/6 = 2 1/3

5/6 + 2 3/4 : 4 8/9 * 2 2/3 - 1 2/3 + (5/38 * 1 1/3 - 10/57) = 2/31) 5/38 * 1 1/3= 5/38 * 4/3 = (5*2)/(19*3) = 10/572) 10/57 - 10/57 = 03) 2 3/4 : 4 8/9 = 11/4 : 44/9 = 11/4 * 9/44 = (1*9)/(4*4) = 9/164) 9/16 * 2 2/3 = 9/16 * 8/3 = (3*1)/(2*1) = 3/2 = 1 1/25) 5/6 + 1 1/2 = 5/6 + 1 3/6 = 1 8/6 = 2 2/6 = 2 1/36) 2 1/3 - 1 2/3 = 1 4/3 - 1 2/3 = 2/3

5/6 + 2 3/4 : 4 8/9 * 2 2/3 - 1 2/3 + (5/38 * 1 1/3 - 10/57) = 2/31) 5/38 * 1 1/3= 5/38 * 4/3 = (5*2)/(19*3) = 10/572) 10/57 - 10/57 = 03) 2 3/4 : 4 8/9 = 11/4 : 44/9 = 11/4 * 9/44 = (1*9)/(4*4) = 9/164) 9/16 * 2 2/3 = 9/16 * 8/3 = (3*1)/(2*1) = 3/2 = 1 1/25) 5/6 + 1 1/2 = 5/6 + 1 3/6 = 1 8/6 = 2 2/6 = 2 1/36) 2 1/3 - 1 2/3 = 1 4/3 - 1 2/3 = 2/37) 2/3 + 0 = 2/3

4,8(71 оценок)
Это интересно:
Новые ответы от MOGZ: Математика
logo
Вход Регистрация
Что ты хочешь узнать?
Спроси Mozg
Открыть лучший ответ