М
Молодежь
К
Компьютеры-и-электроника
Д
Дом-и-сад
С
Стиль-и-уход-за-собой
П
Праздники-и-традиции
Т
Транспорт
П
Путешествия
С
Семейная-жизнь
Ф
Философия-и-религия
Б
Без категории
М
Мир-работы
Х
Хобби-и-рукоделие
И
Искусство-и-развлечения
В
Взаимоотношения
З
Здоровье
К
Кулинария-и-гостеприимство
Ф
Финансы-и-бизнес
П
Питомцы-и-животные
О
Образование
О
Образование-и-коммуникации
Fondon
Fondon
27.08.2020 08:15 •  Математика

Вычислите квадрат и куб 1/2 2/5 3/4 2ц1/2 15

👇
Ответ:
игорь778
игорь778
27.08.2020
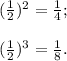
1)
 (н)^2= \frac{1}{4} ; \\ \\ (н)^3= \frac{1}{8} .

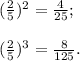
2)
 (\frac{2}{5}) ^2= \frac{4}{25} ; \\ \\ (\frac{2}{5})^3 = \frac{8}{125}.

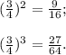
3)
(\frac{3}{4})^2= \frac{9}{16} ; \\ \\ (\frac{3}{4})^3= \frac{27}{64} . 


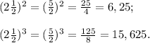
4)
 (2 \frac{1}{2})^2= (\frac{5}{2} )^2= \frac{25}{4} =6,25; \\ \\ (2 \frac{1}{2})^3=( \frac{5}{2})^3= \frac{125}{8}=15,625.
4,4(69 оценок)
Открыть все ответы
Ответ:
mrden3333
mrden3333
27.08.2020

область определения функции: от минус бескорнечности до плюс бесконечности.пересечение с осью абсцисс (ox): x=0.0,x=2.82842712474619.3пересечение с осью ординат (oy): y=0.  4поведение функции на бесконечности: lim(xстремится к бесконечности)=минус бесконечность,   lim(xстремится к минус бесконечности)=минус бесконечность.5исследование функции на четность/нечетность: четная функция.6производная функции равна: 8x-2.0x2.7нули производной: -2,0,2.8функция возрастает на: (минус бесконечность,-2]в объединении[0,2].9функция убывает на: [-2,0][2,бесконечность).10минимальное значение функции: минус бесконечность.  11максимальное значение функции: 8.0. а график посторить тут не смогу

4,8(8 оценок)
Ответ:
erushevsascha
erushevsascha
27.08.2020

раз вы еще не проходили решение с синусов, вот дополнение к первому решению. 

вы уже поняли, как найдены стороны параллелограмма. 

периметр его 40. если принять меньшую сторону за х, то большая сторона будет х+2

запишем

2(х+х+2)=40

4х=36

х=9 -это меньшая сторона.

9+2=11- это большая сторона.

сумма углов параллелограмма, прилежащих к одной стороне, равна 180°

приняв один из углов за у, запишем:

у+ у+120=180°

2у=60°

у=30°

нашли, что острый угол параллелограмма равен 30°

сделайте простейший рисунок. 

опустите из вершины тупого угла на любую сторону высоту.

пусть это будет высота вн на сторону аd 

вн противолежит углу 30°

вы уже учили, что катет прямоугольного треугольника, лежащий против угла 30°, равен половине гипотенузы. 

у нас прямоугольный треугольник авн, угол ван=30°

следовательно, высота параллелограмма равна половине ав и длина ее зависит от того, к какой стороне она проведена. 

1) вн=11: 2=5,5 см

площадь параллелограмма равна произведению высоты на сторону, к которой она проведена:

s=5,5*9=49,5 cм²

или

2)вн=9: 2=4,5 см

и тогда  

s=4,5*11=49,5 см²

4,8(88 оценок)
Новые ответы от MOGZ: Математика
logo
Вход Регистрация
Что ты хочешь узнать?
Спроси Mozg
Открыть лучший ответ