М
Молодежь
К
Компьютеры-и-электроника
Д
Дом-и-сад
С
Стиль-и-уход-за-собой
П
Праздники-и-традиции
Т
Транспорт
П
Путешествия
С
Семейная-жизнь
Ф
Философия-и-религия
Б
Без категории
М
Мир-работы
Х
Хобби-и-рукоделие
И
Искусство-и-развлечения
В
Взаимоотношения
З
Здоровье
К
Кулинария-и-гостеприимство
Ф
Финансы-и-бизнес
П
Питомцы-и-животные
О
Образование
О
Образование-и-коммуникации
polykoly
polykoly
02.05.2023 23:48 •  Математика

X+19=29, 87-x=26, 12-x=4 как решить полностью по больше обьяснения

👇
Ответ:
nastya3162
nastya3162
02.05.2023
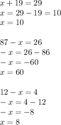
x+19=29 \\ x=29-19 = 10 \\x = 10 \\\\
87-x=26 \\ -x=26-86 \\ -x=-60 \\x=60 \\ \\
12-x=4 \\ -x=4-12 \\ -x = -8 \\ x =8
4,5(29 оценок)
Ответ:
1)x=29-19
x=10
2)x=87-26
x=61
3)x=12-4
x=8
4,5(54 оценок)
Открыть все ответы
Ответ:
Распределительное свойство умножения:
(а + в) * с = а * с + в * с.
Для того, чтобы умножить сумму чисел на число, можно умножить на это число каждое из чисел суммы, а результаты сложить.
1) (8 + .4.)*3 = .8.*3. + 4*3. Здесь вместо первых точек надо поставить такое число, чтобы при умножении на 3 результат был 4*3, т. е. 4, а вместо вторых точек 8*3;
Проверка: 12*3 = 24+12; 36 = 36;
2) (6 + .7.)*7 = 6*7 + 49  Так как 49 = 7*7, то второе слагаемое в скобках 7;
Проверка:13*7 = 42 + 49;  91=91
3) (5 + .4.) *.8.= 5*8 +32: из  первого слагаемого правой части определяем, что скобку нужно умножить на 8, а поделив 32 на 8, найдем, что второе слагаемое 4.
Проверка: 9*8 = 5*8 + 4*8; 72 = 40+32: 72=72

4) (.7. + .9.)*5 = 35 + 45 здесь числа в скобках дает деление на 5 чисел в правой части.
Проверка: 16 *5 = 35+45;   80 = 80;
5) (.7. + .8.) *.9. = 63 + 72. Общий множитель чисел 63 и 72 это 9. Именно на 9 умножают сумму скобки. а числа в скобках находят, поделив 63 и 73 на 9.
Проверка: 15*9 = 63+72; 135 = 135.
6) (6 + 9) *.6. = 36 + 54. На что мы умножаем скобку, можно найти разделив 36 на 6. а для определения второго слагаемого правой части умножаем на этот множитель второе слагаемое скобки. 
Проверка: 15*6 = 36 + 54. 90 = 90

 
4,7(10 оценок)
Ответ:
sonyasm2006
sonyasm2006
02.05.2023
Распределительное свойство умножения:
(а + в) * с = а * с + в * с.
Для того, чтобы умножить сумму чисел на число, можно умножить на это число каждое из чисел суммы, а результаты сложить.
1) (8 + .4.)*3 = .8.*3. + 4*3. Здесь вместо первых точек надо поставить такое число, чтобы при умножении на 3 результат был 4*3, т. е. 4, а вместо вторых точек 8*3;
Проверка: 12*3 = 24+12; 36 = 36;
2) (6 + .7.)*7 = 6*7 + 49  Так как 49 = 7*7, то второе слагаемое в скобках 7;
Проверка:13*7 = 42 + 49;  91=91
3) (5 + .4.) *.8.= 5*8 +32: из  первого слагаемого правой части определяем, что скобку нужно умножить на 8, а поделив 32 на 8, найдем, что второе слагаемое 4.
Проверка: 9*8 = 5*8 + 4*8; 72 = 40+32: 72=72

4) (.7. + .9.)*5 = 35 + 45 здесь числа в скобках дает деление на 5 чисел в правой части.
Проверка: 16 *5 = 35+45;   80 = 80;
5) (.7. + .8.) *.9. = 63 + 72. Общий множитель чисел 63 и 72 это 9. Именно на 9 умножают сумму скобки. а числа в скобках находят, поделив 63 и 73 на 9.
Проверка: 15*9 = 63+72; 135 = 135.
6) (6 + 9) *.6. = 36 + 54. На что мы умножаем скобку, можно найти разделив 36 на 6. а для определения второго слагаемого правой части умножаем на этот множитель второе слагаемое скобки. 
Проверка: 15*6 = 36 + 54. 90 = 90

 
4,5(20 оценок)
Это интересно:
Новые ответы от MOGZ: Математика
logo
Вход Регистрация
Что ты хочешь узнать?
Спроси Mozg
Открыть лучший ответ