М
Молодежь
К
Компьютеры-и-электроника
Д
Дом-и-сад
С
Стиль-и-уход-за-собой
П
Праздники-и-традиции
Т
Транспорт
П
Путешествия
С
Семейная-жизнь
Ф
Философия-и-религия
Б
Без категории
М
Мир-работы
Х
Хобби-и-рукоделие
И
Искусство-и-развлечения
В
Взаимоотношения
З
Здоровье
К
Кулинария-и-гостеприимство
Ф
Финансы-и-бизнес
П
Питомцы-и-животные
О
Образование
О
Образование-и-коммуникации
terminator012
terminator012
19.08.2022 20:55 •  Математика

Замените отношение дробей отношением натуральных чисел: 51/63: 17/27; 1целая 2/13: 2цел.4/13;

👇
Ответ:
Анонимка00
Анонимка00
19.08.2022
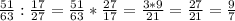
\frac{51}{63} : \frac{17}{27} = \frac{51}{63} * \frac{27}{17} = \frac{3*9}{21} = \frac{27}{21} = \frac{9}{7}

1 \frac{2}{13} : 2 \frac{4}{13} = \frac{15}{13} : \frac{30}{13} = \frac{15}{13} * \frac{13}{30} = \frac{1}{2}
4,6(23 оценок)
Открыть все ответы
Ответ:
9092005apv
9092005apv
19.08.2022
Наступила долгожданная перемена: февраль на календаре сменился первым весенним месяцем - мартом. а это значит, что пришёл конец снежным и суровым бурям, скоро можно будет забыть о морозах и порадоваться наступающей весне. улица ещё полна сугробов, но это ненадолго. робкие поначалу лучики солнца скоро войдут в полную силу и растопят снег. по улицам, звеня, побегут весёлые ручьи, предвестники пробуждения природы. очнётся ото сна лес, расправят свои ветви деревья. белое снежное покрывало, которым зима укрыла природу, исчезнет под жаркими солнечными лучами. дольше всего снег сохранится в низинах и оврагах, однако и туда рано или поздно доберётся солнышко. совсем немного времени пройдёт - а от зимы не останется и следа.вот уже и сейчас, в самом начале весны, из-под ставшего прозрачным снега, выглядывает чёрная земля. через некоторое время она проснётся окончательно. и вскоре оденет свой зелёный наряд, окончательно украсившись и приготовившись к встрече тепла. сейчас ещё пока что тихо, но в самом ближайшем времени из дальних тёплых стран на родину вернутся перелётные птицы. своим весёлым щебетом они огласят окрестности, тем самым приблизив и поторопив наступление весны.
4,6(29 оценок)
Ответ:
so4tfx
so4tfx
19.08.2022
Пусть 1 м ткани стоит х тг.
тогда за  40 м заплатили 40*х тг.
по условию заплатили 18 000тг
сост. ур-ние 40*х=18000
                     х=18000:40
                    х=450 тг стоит 1 м ткани
450*26= 11700 тг стоит 26м ткани

или    40м -18000тг
          26м -Х тг         40:26=18000:Х
                                  40Х=18000*26
                                  40Х=468000
                                      х=468000:40
                                      х=11700 тг    заплатили за 26 м ткани

я не знаю,для какого класса,поэтому решила
4,5(14 оценок)
Новые ответы от MOGZ: Математика
logo
Вход Регистрация
Что ты хочешь узнать?
Спроси Mozg
Открыть лучший ответ