М
Молодежь
К
Компьютеры-и-электроника
Д
Дом-и-сад
С
Стиль-и-уход-за-собой
П
Праздники-и-традиции
Т
Транспорт
П
Путешествия
С
Семейная-жизнь
Ф
Философия-и-религия
Б
Без категории
М
Мир-работы
Х
Хобби-и-рукоделие
И
Искусство-и-развлечения
В
Взаимоотношения
З
Здоровье
К
Кулинария-и-гостеприимство
Ф
Финансы-и-бизнес
П
Питомцы-и-животные
О
Образование
О
Образование-и-коммуникации
эма24
эма24
24.03.2020 01:07 •  Математика

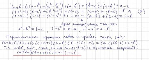
Відомо, що a²-b=b²-c=c²-a причому a≠b,b≠c,c≠a.знайдіть значення виразу (a+b+1)(b+c+1)(c+a+1) .іть будьласка

👇
Ответ:
MegaTanker
MegaTanker
24.03.2020
Решение прицеплено в картинке.

Відомо, що a²-b=b²-c=c²-a причому a≠b,b≠c,c≠a.знайдіть значення виразу (a+b+1)(b+c+1)(c+a+1) .іть бу
4,4(39 оценок)
Открыть все ответы
Ответ:
VenyaMenya
VenyaMenya
24.03.2020
На картине перед нами в мельчайших подробностях предстает утренний лес. Неприступные сосны-исполины стоят на страже густой стеной, чтобы незваный гость не проник в эту удивительную лесную страну, не нарушил ее покой. Вот деревья, раскинувшие ветви своей роскошной кроны навстречу первым лучам солнца. Словно братья и сестры, держащиеся за руки, переплели сосны свои ветви. Вот одна из них слегка наклонила свою
макушку, как будто ей так не хочется просыпаться от приятного сна. В центре — поваленное дерево. Может, оно не выдержало могучего ветра, а может, просто высох от возраста его ствол. Его-то и облюбовала медведица с медвежатами. Она вывела своих детей на утреннюю прогулку. И медвежата радостно резвятся на поваленном дереве. Что-то привлекло их внимание, и двое малышей стараются разобраться, что же именно. Но их братика больше увлекает восход солнца. Приподнявшись на задние лапки, он старается увидеть, откуда же идет этот дивный свет, постепенно наполняющий всю лесную чащу. А солнечные лучи тем временем уже залили весь лес на заднем плане и пробираются к медвежьей семье. И вся картина, наполненная этим светом, создает ощущение радостного пробуждения природы. И это ощущение усиливается сочетанием света и тени, мастерски переданным автором, с которого он стремится передать нам свои чувства, свое восхищение этой красотой.
4,8(29 оценок)
Ответ:
пух8564
пух8564
24.03.2020
1. -125*(-8)*(-3,7)=1000*(-3,7)=-3700
2. 3x-5=2x
3x-2x=5
x=5

3.Какие целые числа находятся межу числами -3,4 и 1,6.
-3, -2, -1,0, 1

4. Выразить в сантиметрах: 18,4 дм.
18,4 дм*10 = 184 см

5.Вычислить:|-8,7| - |3,9 |.
8.7-3,9=4,8

6.10 рабочих заасфальтировали дорогу за 24 часа. За сколько часов дорогу  заасфальтируют 15 рабочих?
Так как они работают с одной скоростью
10 рабочих - 24 часа
15 рабочих - Х часов
Получаем пропорцию: 10/15=24/Х,    2/3 = 24/Х,   2Х=3*24,    Х=12*3 = 36 (часов)

7.Куртка стоила 3000 рублей. Ее цена повысилась на 5%, а через некоторое время понизилась на 10%. Сколько стала стоить куртка?
Повышение цены на 5 % означвает, что она начала стоить 105%, чтобы найти новую цену необхаодимо 3000*1,05 = 3150 (рублей)
Далее цена понизилась на 10%, таким образом она стала стоить 90% от новой цены: 3150*0,9=2835(рублей)
ответ: 2835
4,6(80 оценок)
Это интересно:
Новые ответы от MOGZ: Математика
logo
Вход Регистрация
Что ты хочешь узнать?
Спроси Mozg
Открыть лучший ответ