М
Молодежь
К
Компьютеры-и-электроника
Д
Дом-и-сад
С
Стиль-и-уход-за-собой
П
Праздники-и-традиции
Т
Транспорт
П
Путешествия
С
Семейная-жизнь
Ф
Философия-и-религия
Б
Без категории
М
Мир-работы
Х
Хобби-и-рукоделие
И
Искусство-и-развлечения
В
Взаимоотношения
З
Здоровье
К
Кулинария-и-гостеприимство
Ф
Финансы-и-бизнес
П
Питомцы-и-животные
О
Образование
О
Образование-и-коммуникации
ChaffaYT
ChaffaYT
19.03.2023 23:01 •  Математика

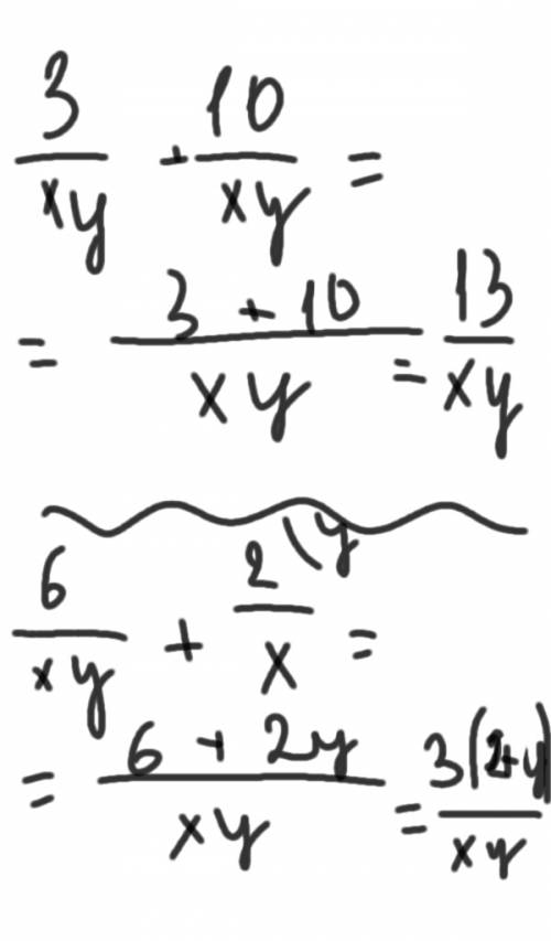
Решите 3/xy+10/xy= 6/xy+2/x= подробно умоляю

👇
Ответ:
pinGvin022
pinGvin022
19.03.2023
ответ на фото, надеюсь, что все понятно)))
Решите 3/xy+10/xy= 6/xy+2/x= подробно умоляю
4,5(6 оценок)
Открыть все ответы
Ответ:
ulyana14547
ulyana14547
19.03.2023

Раз легкие че сам не решишь? Ну ландно тебе

1. Вася - 5 грядок за 6 ч

  Петя - 2 грядки за 7 ч

  Лена - 3 грядки за 5 ч

  Коля - 7 грядок за 9 ч

Кто из них работает быстрее?

6ч=360мин, 7ч=420мин, 5ч=300мин, 9ч=540мин

1)360/5=72мин (за 72мин пропалывает 1 грядку Вася)

2)420/2=210мин (за 210мин пропалывает 1 грядку Петя)

3)300/3=100мин (за 100мин пропалывает 1 грядкуЛена)

4)540/7≈77мин (за 77мин пропалывает 1 грядку Коля 1)

ответ: Вася

2. Первая бригада - Выполняет одно задание за 30 дней

   Вторая бригада - Выполняет одно задание за 50 дней

Если они будут работать вместе выполнят ли они задание за 19 дней?

Всё задание примем за единицу (целое).

1) 1 : 30 = 1/30 (часть задания, которую выполнит первая бригада за 1 день)

2) 1 : 50 = 1/50 (часть задания, которую выполнит вторая бригада за 1 день)

3) 1/30 + 1/50 = 5/150 + 3/150 = 8/150 = 4/75 (часть задания, которую выполнят две бригады за 1 день при совместной работе)

4) 1 : 4/75 = 1 * 75/4 = 75/4 = 18,75 (столько дней потребуется двум бригадам для выполнения задания)

ответ: Успеют

3. Маша - Убирает класс за 40мин

   Даша - Убирает класс за 24 мин

Известно, что если они будут работать вместе, то производительность их труда понизится на 1/6

За сколько минут они уберут класс, если будут работать вместе?

Всю работу примем за еденицу (целое) и получим что производительность Маши равна: 1 : 40 = 1/40, а Даши:  1 : 24 = 1/24.

Совместная производительность их труда равна:  

1/40 + 1/24 = 6/240  + 10/ 240 = 1/15.

Уменьшим ее на 1/6 как сказано в задаче:

1/15 - 1/6 * 1/15 = 1/15 - 1/90 = 5/90

Тогда время уборки равно:

1 : 5/90 = 90/5 = 18 минут.

ответ: За 18 минут

4,6(42 оценок)
Ответ:
adrianaartus8
adrianaartus8
19.03.2023

Раз легкие че сам не решишь? Ну ландно тебе

1. Вася - 5 грядок за 6 ч

  Петя - 2 грядки за 7 ч

  Лена - 3 грядки за 5 ч

  Коля - 7 грядок за 9 ч

Кто из них работает быстрее?

6ч=360мин, 7ч=420мин, 5ч=300мин, 9ч=540мин

1)360/5=72мин (за 72мин пропалывает 1 грядку Вася)

2)420/2=210мин (за 210мин пропалывает 1 грядку Петя)

3)300/3=100мин (за 100мин пропалывает 1 грядкуЛена)

4)540/7≈77мин (за 77мин пропалывает 1 грядку Коля 1)

ответ: Вася

2. Первая бригада - Выполняет одно задание за 30 дней

   Вторая бригада - Выполняет одно задание за 50 дней

Если они будут работать вместе выполнят ли они задание за 19 дней?

Всё задание примем за единицу (целое).

1) 1 : 30 = 1/30 (часть задания, которую выполнит первая бригада за 1 день)

2) 1 : 50 = 1/50 (часть задания, которую выполнит вторая бригада за 1 день)

3) 1/30 + 1/50 = 5/150 + 3/150 = 8/150 = 4/75 (часть задания, которую выполнят две бригады за 1 день при совместной работе)

4) 1 : 4/75 = 1 * 75/4 = 75/4 = 18,75 (столько дней потребуется двум бригадам для выполнения задания)

ответ: Успеют

3. Маша - Убирает класс за 40мин

   Даша - Убирает класс за 24 мин

Известно, что если они будут работать вместе, то производительность их труда понизится на 1/6

За сколько минут они уберут класс, если будут работать вместе?

Всю работу примем за еденицу (целое) и получим что производительность Маши равна: 1 : 40 = 1/40, а Даши:  1 : 24 = 1/24.

Совместная производительность их труда равна:  

1/40 + 1/24 = 6/240  + 10/ 240 = 1/15.

Уменьшим ее на 1/6 как сказано в задаче:

1/15 - 1/6 * 1/15 = 1/15 - 1/90 = 5/90

Тогда время уборки равно:

1 : 5/90 = 90/5 = 18 минут.

ответ: За 18 минут

4,6(20 оценок)
Это интересно:
Новые ответы от MOGZ: Математика
logo
Вход Регистрация
Что ты хочешь узнать?
Спроси Mozg
Открыть лучший ответ