М
Молодежь
К
Компьютеры-и-электроника
Д
Дом-и-сад
С
Стиль-и-уход-за-собой
П
Праздники-и-традиции
Т
Транспорт
П
Путешествия
С
Семейная-жизнь
Ф
Философия-и-религия
Б
Без категории
М
Мир-работы
Х
Хобби-и-рукоделие
И
Искусство-и-развлечения
В
Взаимоотношения
З
Здоровье
К
Кулинария-и-гостеприимство
Ф
Финансы-и-бизнес
П
Питомцы-и-животные
О
Образование
О
Образование-и-коммуникации
orhideya68
orhideya68
19.02.2021 13:32 •  Математика

Решите уравнения икс разделить одна четвёртая равно 4

👇
Ответ:
paa050403
paa050403
19.02.2021
Х÷1/4=4
х×4/1=4
х=1

х равен одному
4,4(33 оценок)
Ответ:
Milena200516
Milena200516
19.02.2021
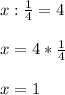
x: \frac{1}{4} =4 \\ \\ x=4*\frac{1}{4} \\ \\ x=1
4,5(7 оценок)
Открыть все ответы
Ответ:
agargo228
agargo228
19.02.2021

нод

а) 4 б) 25

нок а) 60 б) 150

Пошаговое объяснение:

б)

Наибольший общий делитель (НОД) двух данных чисел 50 и 75 — это наибольшее число, на которое оба числа 50 и 75 делятся без остатка.

НОД (50; 75) = 25.

Как найти наибольший общий делитель для 50 и 75

Разложим на простые множители 50

50 = 2 • 5 • 5

Разложим на простые множители 75

75 = 3 • 5 • 5

Выберем одинаковые простые множители в обоих числах.

5 , 5

Находим произведение одинаковых простых множителей и записываем ответ

НОД (50; 75) = 5 • 5 = 25

НОК (Наименьшее общее кратное) 50 и 75

Наименьшим общим кратным (НОК) 50 и 75 называется наименьшее натуральное число, которое само делится нацело на каждое из этих чисел (50 и 75).

НОК (50, 75) = 150

Как найти наименьшее общее кратное для 50 и 75

Разложим на простые множители 50

50 = 2 • 5 • 5

Разложим на простые множители 75

75 = 3 • 5 • 5

Выберем в разложении меньшего числа (50) множители, которые не вошли в разложение

2

Добавим эти множители в разложение бóльшего числа

3 , 5 , 5 , 2

Полученное произведение запишем в ответ.

НОК (50, 75) = 3 • 5 • 5 • 2 = 150

а)

Наибольший общий делитель (НОД) двух данных чисел 12 и 20 — это наибольшее число, на которое оба числа 12 и 20 делятся без остатка.

НОД (12; 20) = 4.

Как найти наибольший общий делитель для 12 и 20

Разложим на простые множители 12

12 = 2 • 2 • 3

Разложим на простые множители 20

20 = 2 • 2 • 5

Выберем одинаковые простые множители в обоих числах.

2 , 2

Находим произведение одинаковых простых множителей и записываем ответ

НОД (12; 20) = 2 • 2 = 4

НОК (Наименьшее общее кратное) 12 и 20

Наименьшим общим кратным (НОК) 12 и 20 называется наименьшее натуральное число, которое само делится нацело на каждое из этих чисел (12 и 20).

НОК (12, 20) = 60

Как найти наименьшее общее кратное для 12 и 20

Разложим на простые множители 12

12 = 2 • 2 • 3

Разложим на простые множители 20

20 = 2 • 2 • 5

Выберем в разложении меньшего числа (12) множители, которые не вошли в разложение

3

Добавим эти множители в разложение бóльшего числа

2 , 2 , 5 , 3

Полученное произведение запишем в ответ.

НОК (12, 20) = 2 • 2 • 5 • 3 = 60

4,4(84 оценок)
Ответ:
RinaZum
RinaZum
19.02.2021

нод

а) 4 б) 25

нок а) 60 б) 150

Пошаговое объяснение:

б)

Наибольший общий делитель (НОД) двух данных чисел 50 и 75 — это наибольшее число, на которое оба числа 50 и 75 делятся без остатка.

НОД (50; 75) = 25.

Как найти наибольший общий делитель для 50 и 75

Разложим на простые множители 50

50 = 2 • 5 • 5

Разложим на простые множители 75

75 = 3 • 5 • 5

Выберем одинаковые простые множители в обоих числах.

5 , 5

Находим произведение одинаковых простых множителей и записываем ответ

НОД (50; 75) = 5 • 5 = 25

НОК (Наименьшее общее кратное) 50 и 75

Наименьшим общим кратным (НОК) 50 и 75 называется наименьшее натуральное число, которое само делится нацело на каждое из этих чисел (50 и 75).

НОК (50, 75) = 150

Как найти наименьшее общее кратное для 50 и 75

Разложим на простые множители 50

50 = 2 • 5 • 5

Разложим на простые множители 75

75 = 3 • 5 • 5

Выберем в разложении меньшего числа (50) множители, которые не вошли в разложение

2

Добавим эти множители в разложение бóльшего числа

3 , 5 , 5 , 2

Полученное произведение запишем в ответ.

НОК (50, 75) = 3 • 5 • 5 • 2 = 150

а)

Наибольший общий делитель (НОД) двух данных чисел 12 и 20 — это наибольшее число, на которое оба числа 12 и 20 делятся без остатка.

НОД (12; 20) = 4.

Как найти наибольший общий делитель для 12 и 20

Разложим на простые множители 12

12 = 2 • 2 • 3

Разложим на простые множители 20

20 = 2 • 2 • 5

Выберем одинаковые простые множители в обоих числах.

2 , 2

Находим произведение одинаковых простых множителей и записываем ответ

НОД (12; 20) = 2 • 2 = 4

НОК (Наименьшее общее кратное) 12 и 20

Наименьшим общим кратным (НОК) 12 и 20 называется наименьшее натуральное число, которое само делится нацело на каждое из этих чисел (12 и 20).

НОК (12, 20) = 60

Как найти наименьшее общее кратное для 12 и 20

Разложим на простые множители 12

12 = 2 • 2 • 3

Разложим на простые множители 20

20 = 2 • 2 • 5

Выберем в разложении меньшего числа (12) множители, которые не вошли в разложение

3

Добавим эти множители в разложение бóльшего числа

2 , 2 , 5 , 3

Полученное произведение запишем в ответ.

НОК (12, 20) = 2 • 2 • 5 • 3 = 60

4,5(88 оценок)
Новые ответы от MOGZ: Математика
logo
Вход Регистрация
Что ты хочешь узнать?
Спроси Mozg
Открыть лучший ответ