М
Молодежь
К
Компьютеры-и-электроника
Д
Дом-и-сад
С
Стиль-и-уход-за-собой
П
Праздники-и-традиции
Т
Транспорт
П
Путешествия
С
Семейная-жизнь
Ф
Философия-и-религия
Б
Без категории
М
Мир-работы
Х
Хобби-и-рукоделие
И
Искусство-и-развлечения
В
Взаимоотношения
З
Здоровье
К
Кулинария-и-гостеприимство
Ф
Финансы-и-бизнес
П
Питомцы-и-животные
О
Образование
О
Образование-и-коммуникации
suxowaalisa
suxowaalisa
25.11.2020 09:31 •  Математика

Решить интегральное уравнение xy'-y=y^3

👇
Ответ:
tusovki
tusovki
25.11.2020
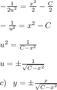
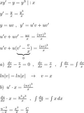
xy'-y=y^3\; |:x\\\\y'- \frac{y}{x}=\frac{y^3}{x}\\\\y=uv\; ,\; \; y'=u'v+uv'\\\\u'v+uv'- \frac{uv}{x}=\frac{(uv)^3}{x}\\\\u'v+u(\underbrace {v'- \frac{v}{x}}_{0})=\frac{(uv)^3}{x}\\\\a)\; \; \frac{dv}{dx}-\frac{v}{x}=0\; \; ,\; \; \frac{dv}{dx}=\frac{v}{x}\; \; ,\; \; \int \frac{dv}{v}=\int \frac{dx}{x}\\\\ln|v|=ln|x|\; \; \; \to \; \; \; v=x\\\\b)\; \; u'\cdot x= \frac{(ux)^3}{x}\; \\\\\frac{du}{dx}\cdot x=\frac{u^3x^3}{x} \; \; ,\; \; \int \frac{du}{u^3}=\int x\, dx\\\\\frac{u^{-2}}{-2}=\frac{x^2}{2}-\frac{C}{2}

- \frac{1}{2u^2}=\frac{x^2}{2}-\frac{C}{2}\\\\-\frac{1}{u^2}=x^2-C\\\\u^2=\frac{1}{C-x^2}\\\\u=\pm \frac{1}{\sqrt{C-x^2}}\\\\c)\; \; \; y=\pm \frac{x}{\sqrt{C-x^2}}
4,4(61 оценок)
Открыть все ответы
Ответ:
80zumani
80zumani
25.11.2020
Хлеб — пищевой продукт, получаемый путём выпечки, паровой обработки или жарки теста, состоящего, как минимум, из муки и воды. В большинстве случаев добавляется соль, а также используется разрыхлитель, такой как дрожжи. Для приготовления хлеба употребляют пшеничную и ржаную муку, реже — кукурузную, ячменную и другиеХлеб — один из старейших приготавливаемых продуктов, появившийся ещё в неолите. Первый хлеб представлял собой подобие запечённой кашицы, приготовленной из крупы и воды, а также мог стать результатом случайного приготовления или намеренных экспериментов с водой и мукой.
4,8(31 оценок)
Ответ:
даша34430
даша34430
25.11.2020
1) 340 руб - 100%
    х руб  - 102%
х= (340*102)/100=346,8 рублей

2) 1 часть - х, тогда зерновые - 5х, а овощные - 3х
5х+3х=24
8х=24
х=3
3*3=9 га - овощные культуры

3) 400 руб - 100%
  х руб   - 25%
х= (400*25)/100=100 руб - 2 свитер
400+100=500 руб - за два свитера

4) 680 руб - 80 %
   х руб   - 100%
х = (680*100)/80= 850 руб - стоил товар 

5) 198/2=99 руб -  школьный билет
 4*198+12*99= 792 +1188=1980 руб - за группу

6) 75 руб  -100%
    61,5 руб  - х %
х= (61,5*100)/75 = 82%
100-82= 18% - скидка

7) 800 руб - 100%
  х руб  - 120%
х=(800*120)/100= 960 руб будет через год

8) 300 руб - 100%
   х руб  - 40% 
х=(300*40)/100=120 руб - 2 футболка
300+120=420 руб - за две 
4,7(10 оценок)
Это интересно:
Новые ответы от MOGZ: Математика
logo
Вход Регистрация
Что ты хочешь узнать?
Спроси Mozg
Открыть лучший ответ