М
Молодежь
К
Компьютеры-и-электроника
Д
Дом-и-сад
С
Стиль-и-уход-за-собой
П
Праздники-и-традиции
Т
Транспорт
П
Путешествия
С
Семейная-жизнь
Ф
Философия-и-религия
Б
Без категории
М
Мир-работы
Х
Хобби-и-рукоделие
И
Искусство-и-развлечения
В
Взаимоотношения
З
Здоровье
К
Кулинария-и-гостеприимство
Ф
Финансы-и-бизнес
П
Питомцы-и-животные
О
Образование
О
Образование-и-коммуникации
yaksyta
yaksyta
20.01.2021 12:42 •  Математика

Мішень має вигляд круга, в який вписано правильний трикутник. яка ймовірність не поцілити в трикутник?

👇
Ответ:
Belay28
Belay28
20.01.2021
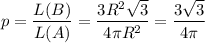
Найдем сначала вероятность того, что в треугольник можно попасть внутри круга

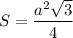
Площадь правильного треугольника: S= \dfrac{a^2 \sqrt{3} }{4}, где а - сторона,и из свойств радиуса вписанной окружности a=R \sqrt{3} получим

S_{з}= \dfrac{(R \sqrt{3})^2 \sqrt{3} }{4} = \dfrac{3R^2 \sqrt{3} }{4}

Площадь круга:  S_{o}= \pi R^2

По определению геометрической вероятности: p= \dfrac{L(B)}{L(A)} = \dfrac{3R^2 \sqrt{3} }{4 \pi R^2} = \dfrac{3 \sqrt{3} }{4 \pi }

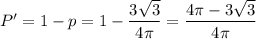
Тогда вероятность того, что в треугольник не попасть равна 
                                             P'=1-p=1- \dfrac{3 \sqrt{3} }{4 \pi } = \dfrac{4 \pi -3 \sqrt{3} }{4 \pi }
Мішень має вигляд круга, в який вписано правильний трикутник. яка ймовірність не поцілити в трикутни
4,4(9 оценок)
Открыть все ответы
Ответ:
YanaNiki
YanaNiki
20.01.2021
1)45,63 и 43,8= 46 > 44                                                                                  2)67,837 и 67,25= 68 > 67                                                                               3)89,222 и 89,223= 89=89                                                                                4)61,29 и 61,26= 61=61                                                                                     5)83,05 и 84,1= 83 < 84                                                                                 6)46,997 и 46,897= 47=47 
Натуральные числа - это такие числа, как 1, 2, 4... 45, 46 (Без остатка) Специально для вас написал) 
4,8(51 оценок)
Ответ:
sergiu21
sergiu21
20.01.2021
4 палітурника за 7 дней переплетают 588 книг
значит
4 палітурника за 1 день переплетают 588 / 7 книг = 84 книги
значит
1 палітурник за 1 день переплетает 84 / 4 книги = 21 книгу

Тогда мы можем посчитать, сколько он один переплетёт за 5 дней:
21 книга в день * 5 днів = 105 книг

Если надо написать уравнение, то это делается так.
Сколько 1 палітурник переплетёт за 1 день обозначим как X
Тогда 4 палітурника за 7 дней переплетают:
X * 4 * 7 = 588
X = 588 / (4 * 7) = 588 / 28 = 21
Дальше опять считаем так же.
За 5 дней, один переплётчик переплетёт:
X * 5 = 21 * 5 =105 книг
4,4(9 оценок)
Это интересно:
Новые ответы от MOGZ: Математика
logo
Вход Регистрация
Что ты хочешь узнать?
Спроси Mozg
Открыть лучший ответ