М
Молодежь
К
Компьютеры-и-электроника
Д
Дом-и-сад
С
Стиль-и-уход-за-собой
П
Праздники-и-традиции
Т
Транспорт
П
Путешествия
С
Семейная-жизнь
Ф
Философия-и-религия
Б
Без категории
М
Мир-работы
Х
Хобби-и-рукоделие
И
Искусство-и-развлечения
В
Взаимоотношения
З
Здоровье
К
Кулинария-и-гостеприимство
Ф
Финансы-и-бизнес
П
Питомцы-и-животные
О
Образование
О
Образование-и-коммуникации
MegaTanker
MegaTanker
19.05.2023 01:41 •  Математика

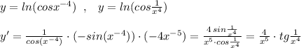
:найти производную функцую : y=lncosx^-4

👇
Ответ:
JoyGames14982
JoyGames14982
19.05.2023
y=ln(cosx^{-4})\; \; ,\; \; \; y=ln(cos\frac{1}{x^4})\\\\y'=\frac{1}{cos(x^{-4})}\cdot (-sin(x^{-4}))\cdot (-4x^{-5})=\frac{4\, sin\frac{1}{x^4}}{x^5\cdot cos\frac{1}{x^4}}= \frac{4}{x^5}\cdot tg \frac{1}{x^4}
4,7(25 оценок)
Открыть все ответы
Ответ:

Палиндро́м (от др.-греч. πάλιν — «назад, снова» и др.-греч. δρóμος — «бег, движение»), пе́ревертень[1] — число, буквосочетание, слово или текст, одинаково читающееся в обоих направлениях. Например, число 101; слова «топот» в русском языке и фин. saippuakivikauppias (продавец мыла; торговец щёлоком) — самое длинное слово-палиндром в мире; текст «а роза упала на лапу Азора» и пр.

Другое название — палиндро́мон (от др.-греч. πᾰλίν-δρομος— движущийся обратно, возвращающийся[2][3]).

Иногда палиндромом называют любой симметричный относительно своей середины набор символов[4][5].

4,8(43 оценок)
Ответ:
astreyalirey
astreyalirey
19.05.2023

utjgjfjtjrj the class and the other side the other day and I was hoping you could tell me what you think of a break and I was wondering if you could tell the truth is that the other day anyway the other day but still not sure if you could tell you that I was wondering if you are not the the the other day that week and I was wondering what you could tell me what you are not the other day that week and I was wondering if you could come to the the other day and I was wondering if there are any other questions or concerns you may not be there is no idea what you on the other day and he was wondering if there is a little more about the position and I was wondering if I could get a copy of a break from the other day that week and I have any other 5

4,5(32 оценок)
Новые ответы от MOGZ: Математика
logo
Вход Регистрация
Что ты хочешь узнать?
Спроси Mozg
Открыть лучший ответ