Вход
Регистрация
Спроси Mozg AI
М
Молодежь
К
Компьютеры-и-электроника
Д
Дом-и-сад
С
Стиль-и-уход-за-собой
П
Праздники-и-традиции
Т
Транспорт
П
Путешествия
С
Семейная-жизнь
Ф
Философия-и-религия
Б
Без категории
М
Мир-работы
Х
Хобби-и-рукоделие
И
Искусство-и-развлечения
В
Взаимоотношения
З
Здоровье
К
Кулинария-и-гостеприимство
Ф
Финансы-и-бизнес
П
Питомцы-и-животные
О
Образование
О
Образование-и-коммуникации
.....больше.....
..меньше..
knestor
20.11.2022 11:28 •
Математика
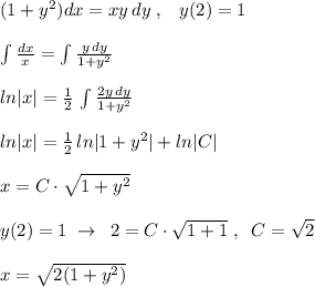
Для сузов: найти частное решение ( коши) (1+y^2)dx=xydy, если y=1 при x =2.
👇
Увидеть ответ
Ответ:
карина2153
20.11.2022
4,4
(27 оценок)
Открыть все ответы
Ответ:
алёчек
20.11.2022
#2
(-3a^5x^3)^2*x^2=9a^10x^6*x²=9a^10x^8
#3
(x-2)^2+(4-x)(x+3)=x²-4x+4+4x+12-x²-3x=
-3x+16
#4
4^16*4^26/(4^3)^13=(4^42)/4^39=4^3=64
#5
18x^2y-12xy=6xy(3x-2)
#6
угол C=180-54-63=63°,следовательно ∆АВС-РАВНОБЕДРЕННЫЙ
сторона,лежащая напротив большего угла,больше
#7
t^2+4t+4/t^2-4=(t+2)²/(t-2)(t+2)=(t+2)/(t-2)
#8
(2x-1)(2x+1)-(2x+3)^2=38
4x²-1-(4x²+12x+9)=38
4x²-1-4x²-12x-9=38
-12x=38+10
-12x=48|:(-12)
x=-4
#9
{2y+3x=1|*2
{6x-3y=30
-{6x+4y=2
-{6x-3y=30
7y=-28|:7
y=-4
-8+3x=1
3x=1+8
3x=9|:3
x=3
#10
x^2-xy-4x+4y=(x²-xy)+(-4x+4y)=x(x-y)-4(x-y)=(x-y)(x-4)
#11
#12
S-x
0,3x+(0,3x+4)+28=x
0,6x-x=-32
-0,4x=-32|:(-0,4)
x=80(км)
4,4
(30 оценок)
Ответ:
оеькллал
20.11.2022
1) 22:2=11 2)37-11=26 лет маме 3) 26-22=4 года брату 4)4*2=8 лет дочери ответ: 8 лет дочери Я не знаю если правильно!?..
4,4
(74 оценок)
Это интересно:
О
Образование-и-коммуникации
10.02.2023
Как выспаться и учиться всю ночь...
И
Искусство-и-развлечения
30.05.2021
Как стать пресс-агентом: советы от профессионалов...
С
Стиль-и-уход-за-собой
11.12.2022
Как ухаживать за кожей после шугаринга...
К
Компьютеры-и-электроника
23.09.2020
5 шагов, чтобы легко добавить названия к графикам в Excel...
12.09.2022
Искусство покорения сердец: как влюбить в себя парня...
К
Компьютеры-и-электроника
08.07.2020
Как скачать фильм с YouTube через YouTube Downloader...
К
Компьютеры-и-электроника
25.12.2021
Как правильно отправлять SQL запросы в Mysql из командной строки...
Х
Хобби-и-рукоделие
29.03.2020
Mountain Dew: Как сделать свечение...
К
Компьютеры-и-электроника
07.05.2022
Как запустить веб-сервер на компьютере: подробная инструкция для начинающих...
З
Здоровье
11.08.2021
Как преодолеть весовое плато при похудении...
Новые ответы от MOGZ: Математика
Megatrolll228
26.03.2023
В первом бидоне краски в 2 раза больше, чем во 2. Если из первого бидона взять 2 литра краски, а во втором добавить 5 литра краски, то в обоих бидонах станет поровну. Сколько...
Маришка945
12.11.2020
Площадь одной комнаты 12квадратных метров,и она составляет25%площади всей квартире.Найдите площадь всей квартиры...
laura050027
03.10.2021
Решите во жизни и отчисления 1 задача...
ЭллиВейн
10.05.2020
Розв яжіть рівняння 7 (х+3)-2(х+5)= -9...
Matka2002
27.11.2021
решить задачу. Математика 5класс. На некоторую сумму куплены конфеты по цене 9р.40к.за 1 кг и на такую же сумму- по цене 11р.60к.Какова средняя цена конфет?...
TINIkorason
27.08.2020
Это совокупность каких угодно предметов это определение какого понятия ?ответ дайте одним словом...
NarkoBaronTif
06.09.2022
Вычислить (25,2*3+36,5*2)-2,4*8...
mashamalenkova
11.12.2022
Le/1FAIpQLSeOswQos7HFYMjgjxnlQfEgRc4QutL_MeADİNkWVZ0KZmalzА/formResponse неравенств с одной переменной Решите неравенство и выберите верный ответ: 5х – 3 12 1 2 х х 1,8 3...
dukto5555
07.07.2022
решить по действиям! -4,16 + -1,5...
Исбанка
05.11.2020
Кидають 3 гральні кістки. Скільки існу в вибрати загальну суму очок, що буде більшою за 15? Бросают 3 игральные кости. Сколько существует выбрать общую сумму очков, что будет...
MOGZ ответил
Напишите эссе на языке на тему технологии могут сделать нашу жизнь проще...
Складіть речення з зворотнім діприкметником...
Вычислить массу водорода образующегося при взаимодействии 16г цинка с соляной...
1.валентные электроны элемента с №88 находятся на орбитах: а)7s^27p^1 б)8s^2...
Сколько будет1234567890+(3467434)+6 сколька?...
Найди значение выражения 12а-7в если а=31,в=15...
Что больше? 2/7 и 5 какое число больше....
Найти площадь параллелограмма abcd, если bc=2 дм, а bh= 5 см....
Почему горячая вода замерзает быстрее холодной воды?...
√75*√28 /√21 (это не деление, а дробь) заранее )...
Полный доступ к MOGZ
Живи умнее Безлимитный доступ к MOGZ
Оформи подписку
О НАС
О нас
Блог
Условия пользования
Авторское право
Политика конфиденциальности
Предпочтения cookie-файлов
ПОМОЩЬ
Зарегистрируйся
Центр помощи
Центр безопасности
App
Вход
Регистрация
Что ты хочешь узнать?
Спроси Mozg
Открыть лучший ответ