М
Молодежь
К
Компьютеры-и-электроника
Д
Дом-и-сад
С
Стиль-и-уход-за-собой
П
Праздники-и-традиции
Т
Транспорт
П
Путешествия
С
Семейная-жизнь
Ф
Философия-и-религия
Б
Без категории
М
Мир-работы
Х
Хобби-и-рукоделие
И
Искусство-и-развлечения
В
Взаимоотношения
З
Здоровье
К
Кулинария-и-гостеприимство
Ф
Финансы-и-бизнес
П
Питомцы-и-животные
О
Образование
О
Образование-и-коммуникации
Shaha2000
Shaha2000
31.12.2020 13:56 •  Математика

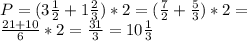
Найдите периметр прямоугольника со стронами 3цел1/2 м и 1цел2/3

👇
Ответ:
marystuart21
marystuart21
31.12.2020
P= (3 \frac{1}{2} +1 \frac{2}{3} )*2=( \frac{7}{2} + \frac{5}{3})*2= \\ \frac{21+10}{6} * 2= \frac{31}{3} =10 \frac{1}{3} м
4,5(23 оценок)
Открыть все ответы
Ответ:
hatidzemustafaeva
hatidzemustafaeva
31.12.2020
Птицы уже звали друг друга ранней утренней неподвижностью в Долины Александра, поскольку солнце медленно поднималось по холмам. Листья на деревьях, шелестевших мягко в самом голом бризе как Кристэл, девочка пятнадцати лет, стояли тихий во влажной траве, наблюдая блестящее небо.. В течение кратких моментов птицы прекращали петь. Почти, как будто они, также, трепетали перед красотой долины. Были травянистые области, оправленные бурными холмами, где их рогатый скот блуждал, пасясь. Ранчо ее отца покрыло двести акров, его плодородное земное зерно получения, грецкие орехи и виноград, с рогатым скотом, они породили введение их самой большой прибыли. Кристэл любил rach не, для которого он принес им, а для того, каково это было. Каждый дюйм ее души любил ранчо и этот vally. Она унаследовала страсть своего отца к земле к ярко-коричневой земле и думанию зеленой травы, которая устилала холмы весной. Теперь она, казалось, общалась тихо со спринтами, только она знала, были там, поскольку она смотрела высокий шелест травы мягко в бризе и чувствовала теплоту сияния солнца вниз на ее волосах цвета пшеницы, когда она начала петь мягко. Тогда она внезапно начала управлять pressubg влажная трава ниже ее ног, когда она возглавила tiward река, Она сидела на ударении серой скалы, чувствуя ледяной водный танец по ее ногам, поскольку она наблюдала, что солнечный свет достиг скал. Она любила наблюдать, что солнце подходит, любимое бежать в области, она любила просто быть там живой и молодой и свободной в одной с ее корнями и с природой. Она знала, что не было никого, чтобы смотреть ее положение изящно в потоке и затем пружинистости дальше frumo трамвай в Александре Vally.ernkj
больше не могу (только русский)
4,5(68 оценок)
Ответ:
Ira21Irina21
Ira21Irina21
31.12.2020
Здоровье – самая большая ценность, как гласит народная мудрость. Это потому, что только когда у человека все в порядке со здоровьем, у него есть силы и вдохновение для дел, общения, творчества. Когда в организме что-то болит, сложно сосредоточиться на учебе или работе, не хочется даже развлекаться. А современная жизнь требует от нас быть активными, поэтому мы должны заботиться о своем здоровье.Беречь здоровье нужно с детства, а болезни легче предупредить, чем лечить, говорят врачи. В нашем классе есть ученики, у которых уже плохое зрение и кривая спина. Часто это случается от долгого сидения за компьютером, чтения в неправильной позе при плохом освещении. Это будет сложно, потом исправить, потому что в наш век информации человеку все больше и больше приходится сидеть перед монитором, и зрение будет падать и падать. Может, сейчас мы не придаем этому большого значения, потому что просто не представляем, что такое слепота.Моя бабушка всегда говорила, что пока была молодая и здоровая, не могла и минуту без дела просидеть. А когда болезни одолели, уже не так волнует, если что-то стоит недоделанным.Чтобы не болеть, нужно поддерживать здоровье. Для этого не так много нужно: правильно питаться, делать физические упражнения, много времени проводить на свежем воздухе, а также позитивно относиться к жизни. Ученые считают, что люди с хорошим чувством юмора дольше живут и меньше болеют. Если бы люди внимательней относились к своему самочувствию, то меньше времени тратили бы на больницы. Нужно помнить о том, что здоровье нужно беречь, ведь его даже за деньги не купишь. Нужно заниматься в спортзале любить плавать каждое утро делать зарядку много гулять !
4,6(83 оценок)
Это интересно:
Новые ответы от MOGZ: Математика
logo
Вход Регистрация
Что ты хочешь узнать?
Спроси Mozg
Открыть лучший ответ