М
Молодежь
К
Компьютеры-и-электроника
Д
Дом-и-сад
С
Стиль-и-уход-за-собой
П
Праздники-и-традиции
Т
Транспорт
П
Путешествия
С
Семейная-жизнь
Ф
Философия-и-религия
Б
Без категории
М
Мир-работы
Х
Хобби-и-рукоделие
И
Искусство-и-развлечения
В
Взаимоотношения
З
Здоровье
К
Кулинария-и-гостеприимство
Ф
Финансы-и-бизнес
П
Питомцы-и-животные
О
Образование
О
Образование-и-коммуникации
syamiulinlinar
syamiulinlinar
10.03.2021 01:13 •  Математика

Решите уравнение: х+3/12 - х-3/4=х+2/6

👇
Ответ:
navozovaleksejj
navozovaleksejj
10.03.2021
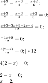
\frac{x+3}{12} - \frac{x-3}{4} = \frac{x+2}{6}; \\ \\ \frac{x+3}{12} - \frac{x-3}{4} - \frac{x+2}{6}=0 ; \\ \\ \frac{x+3-3x+9-2x-4}{12}=0; \\ \\ \frac{-4x+8}{12}=0; \\ \\ \frac{4(2-x)}{12}=0; |*12 \\ \\ 4(2-x)=0; \\ \\ 2-x=0; \\ x=2.
4,7(87 оценок)
Открыть все ответы
Ответ:
kassssseta
kassssseta
10.03.2021
самый первый и единственный первоцвет Подснежник у большинства европейских стран ассоциируется с приходом весны, так как именно Подснежник вылазит прямо из-под снежного покрова, не дожидаясь полного оттаивания почвы.  Все мифы и легенды обычно рождаются из названий растения, внешнего вида, поры года когда он цветут или с местами обитания. 
  Подснежник (Галантус) история. История Подснежника (Галантуса).Исторически сложилось, что лекарственное растение Подснежник (Галантус)известен прежде всего своим появлением ещё в очень холодный период, это самый первый первоцвет. По этой причине все легенды и мифы связны именно с борьбой весны в лице подснежника с зимой. О лекарственном применении в древности мало известно. Лишь изредка можно встретит описания применения Подснежника в качестве мочегонного, ветрогонного и желудочного средства. В настоящее время изготавливается препарат алколоида галантамина, полученного из унгернии, который применяется при двигательных расстройствах. Но конешно же свою популярность он черпает из своей красоты, которая появляется прямо из под снега. И эту красоту воспевали и писатели и поэты, сложено множество сказок. Так знаменитый писатель сказок Андерсен написал сказку о беззаботном Подснежнике. Увидев солнечные лучи Подснежник выбрался из своего домика-луковички на землю, но там его ожидали снег, холод и непогода. Но он оставался таким же нежным и прекрасным, стойко переносил непогоду. Все, кто его видел радовались вестнику теплой весны, ведь он был всегда первым и единственным кто появлялся прямо из под снега.
4,8(84 оценок)
Ответ:
kamilamih
kamilamih
10.03.2021
Изморозь- ►1.осадок в виде тонкого слоя мелких кристаллов льда, образующийся в туманную морозную погоду на земле, ветвях деревьев, проводах и т. п.
2.►Влажный воздух, дымка испарений в холодную сырую погоду
Виды:
Кристаллическая изморозь — кристаллический осадок, образующийся в результате десублимации водяного пара в виде пушистых гирлянд. Наблюдается в малооблачную морозную погоду при температуре воздуха ниже −10°, при дымке или ледяном тумане при слабом ветре. Отложение изморози происходит, чаще всего, в течение нескольких часов ночью; днём она постепенно осыпается под воздействием солнечных лучей, однако в облачную погоду и в тени может сохраняться в течение всего дня. ИЗМОРОЗЬ НА РАСТЕНИЯХ Зернистая изморозь — снеговидный осадок, образующийся в результате оседания мелких капелек переохлаждённого тумана в любое время суток при температуре воздуха от нуля до −10° и умеренном или сильном ветре. Нарастание продолжается столько, сколько длится туман и ветер (обычно несколько часов, а иногда и несколько суток). Сохранение отложившейся зернистой изморози может продолжаться до нескольких суток. При укрупнении капель тумана может перейти в гололёд, а при понижении температуры воздуха в сочетании с ослаблением ветра и уменьшением количества облачности в ночное время — в кристаллическую
4,8(45 оценок)
Это интересно:
logo
Вход Регистрация
Что ты хочешь узнать?
Спроси Mozg
Открыть лучший ответ