М
Молодежь
К
Компьютеры-и-электроника
Д
Дом-и-сад
С
Стиль-и-уход-за-собой
П
Праздники-и-традиции
Т
Транспорт
П
Путешествия
С
Семейная-жизнь
Ф
Философия-и-религия
Б
Без категории
М
Мир-работы
Х
Хобби-и-рукоделие
И
Искусство-и-развлечения
В
Взаимоотношения
З
Здоровье
К
Кулинария-и-гостеприимство
Ф
Финансы-и-бизнес
П
Питомцы-и-животные
О
Образование
О
Образование-и-коммуникации
MRSAVVA
MRSAVVA
13.08.2020 18:04 •  Математика

Решите уравнения (c-52)*4=28 35: x-7=0

👇
Ответ:
Yoongikookie
Yoongikookie
13.08.2020
1) с-52=28:4
с-52=7
с=7+52
с=59

2) 35:х=0+7
35:х=7
х=35:7
х=5
4,6(60 оценок)
Ответ:
eegorov1996
eegorov1996
13.08.2020
4x-208 =28
4x= 28+208
4x=236
x=236: 4
x=59

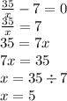
35:x -7 =0
\frac{35}{x} - 7 = 0 \\ \frac{35}{x} = 7 \\ 35 = 7x \\ 7x = 35 \\ x = 35 \div 7 \\ x = 5
4,7(14 оценок)
Открыть все ответы
Ответ:
Pandorica
Pandorica
13.08.2020
ДУМАЕМ
Потребуется циркуль и линейка. 
Но ИЗ КАКОЙ ТОЧКИ ПРОВОДИТЬ КАСАТЕЛЬНУЮ? 
РЕШЕНИЕ - алгоритм построения.
1. Проводим прямую, на ней из точки О чертим окружность -  R = OB.
2. Ставим ЛЮБУЮ точку В на окружности.
3. Проводим через точку В  радиус ОВ.
4. Строим ПЕРПЕНДИКУЛЯР к радиусу в точке В с угольника до пересечения с первоначальной прямой и получаем точку А.
ВЫВОД: Прямая АВ - касательная к окружности R.
Для закрепления знаний - окружность уже построена.
5. Ставим точку С на окружности R и проводим к ней радиус - ОС.
6. Строим перпендикуляр СD - до пересечения с продолжением диаметра в точке D.

Начертите окружность с центром в точке а радиусом 3,5 см.отметьте на окружности точку в.проведите ка
4,7(94 оценок)
Ответ:
MuBuHa
MuBuHa
13.08.2020
За 1 примем расстояние между пунктами. Тогда автомобиль проходит его на час быстрее чем грузовик, а одновременно они его проходят за 1,2 часа. Имеем систему уравнений:
1/V1-1/V2=1,
(V1+V2)×1,2=1;
V2-V1=V1×V2,
V1+V2=10/12;
Рассмотрим второе уравнение системы V1=10/12-V2
V2-10/12+V2=10/12V2-V2²
V2=x
2x-10/12-10/12x+x²=0
x²+14/12x-10/12=0
12x²+14x-10=0
6x²+7x-5=0
D=49+120=169=13²
x1=(-7+13)/12=6/12=0,5
x2=(-7-13)/12=-20/12=-10/6 <0 - не соответствует условию
Скорость автомобиля 0,5, тогда скорость грузовика 10/12-6/12=4/12=⅓. Тогда автомобиль потратит на всё расстояние 1:0,5=2 часа, а грузовик 1:⅓=3 часа.
4,7(99 оценок)
Это интересно:
Новые ответы от MOGZ: Математика
logo
Вход Регистрация
Что ты хочешь узнать?
Спроси Mozg
Открыть лучший ответ