М
Молодежь
К
Компьютеры-и-электроника
Д
Дом-и-сад
С
Стиль-и-уход-за-собой
П
Праздники-и-традиции
Т
Транспорт
П
Путешествия
С
Семейная-жизнь
Ф
Философия-и-религия
Б
Без категории
М
Мир-работы
Х
Хобби-и-рукоделие
И
Искусство-и-развлечения
В
Взаимоотношения
З
Здоровье
К
Кулинария-и-гостеприимство
Ф
Финансы-и-бизнес
П
Питомцы-и-животные
О
Образование
О
Образование-и-коммуникации
pczheka1
pczheka1
20.01.2023 21:39 •  Математика

Решить из теории вероятностей? . предприятие приобрело электронный прибор. время безотказной работы подобных приборов случайно и имеет показательное распределение. среднее время безотказной работы приборов данного типа и данного производителя равно 8 тысяч часов непрерывной работы. какова вероятность того, что данный прибор проработает безотказно не менее среднего времени безотказной работы? какой гарантийный срок следует установить производителю, чтобы ожидаемый процент приборов, не выдержавших срок гарантии, не превышал 5%?

👇
Ответ:
Girfans
Girfans
20.01.2023
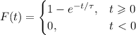
T — время безотказной работы, τ = 8000 часов — среднее время безотказной работы.

Функция распределения показательного распределения случайной величины t со средним значением τ:
F(t)=\begin{cases}1-e^{-t/\tau},&t\geqslant 0\\0,&t\ \textless \ 0\end{cases}

Вероятность того, что случайная величина примет значения, не меньшие τ:
P(t\leqslant\tau)=F(\tau)=1-e^{-\tau/\tau}=1-e^{-1}\approx0.632

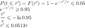
Пусть гарантийное время работы равно τ', нужно, чтобы вероятность того, что t меньше τ', была не больше 0,05:
P(t\leqslant\tau')=F(\tau')=1-e^{-\tau'/\tau}\leqslant0.05\\
e^{-\tau'/\tau}\geqslant0.95\\
\dfrac{\tau'}\tau\leqslant-\ln 0.95\\
\tau'\leqslant0.0513\tau
Гарантийный срок должен быть не больше 8 000 * 0,0513 ≈ 410 часов
4,8(19 оценок)
Открыть все ответы
Ответ:
riathome26
riathome26
20.01.2023

Пошаговое объяснение:

НОД (84; 189) = 21.

Как найти наибольший общий делитель для 84 и 189

Разложим на простые множители 84

84 = 2 • 2 • 3 • 7

Разложим на простые множители 189

189 = 3 • 3 • 3 • 7

Выберем одинаковые простые множители в обоих числах.

3 , 7

Находим произведение одинаковых простых множителей и записываем ответ

НОД (84; 189) = 3 • 7 = 21

НОК (Наименьшее общее кратное) 84 и 189

Наименьшим общим кратным (НОК) 84 и 189 называется наименьшее натуральное число, которое само делится нацело на каждое из этих чисел (84 и 189).

НОК (84, 189) = 756

Как найти наименьшее общее кратное для 84 и 189

Разложим на простые множители 84

84 = 2 • 2 • 3 • 7

Разложим на простые множители 189

189 = 3 • 3 • 3 • 7

Выберем в разложении меньшего числа (84) множители, которые не вошли в разложение

2 , 2

Добавим эти множители в разложение бóльшего числа

3 , 3 , 3 , 7 , 2 , 2

Полученное произведение запишем в ответ.

НОК (84, 189) = 3 • 3 • 3 • 7 • 2 • 2 = 756

4,8(94 оценок)
Ответ:
pornuxa1
pornuxa1
20.01.2023
Пусть х - время, за которое Иван может вспахать все поле.
Тогда х+5 - время, за которое все поле может вспахать Григорий.
Примем всю площадь поля за 1.
Тогда 1/х - производительность Ивана.
1/(х+5) - производительность Григория.
1/х + 1/(х+5) - производительность Ивана и Григория, работающих вместе что соответствует 1/6.
Уравнение
1/х + 1/(х+5) = 1/6

Умножим обе части неравенства на 6х(х+5), чтобы избавиться от знаменателей.
6х(х+5)/х + 6х(х+5)/(х+5) = 6х(х+5)/6
6(х+5) + 6х = х(х+5)
6х+30 + 6х = + х^2 + 5х
х^2 - 7х - 30 = 0
D = 49 -4(-30) = 49 + 120 = 169
√D = √169 = 13
x1 = (7-13)/2 = -6/2 = -3 - не походит, поскольку время не может отрицательным.
х2 = (7+13)/2 = 20/2 = 10 часов - время, за которое Иван вспашет все поле.

ответ: 10 часов

Проверка
1) 1:10= 1/10 - производительность Ивана.
2) 1:6 = 1/6 - производительность Ивана и Григория, работающих вместе.
3) 1/6 - 1/10 = 5/30 - 3/30 = 2/30 = 1/15 - производительность Григория.
4/ 1 : 1/15 = 15 часов- за такое время Григория может выполнить всю работу.
5) 15-10=5 часов - на столько часов Иван выполнит работу раньше, чем Григорий.
4,5(69 оценок)
Это интересно:
Новые ответы от MOGZ: Математика
logo
Вход Регистрация
Что ты хочешь узнать?
Спроси Mozg
Открыть лучший ответ