М
Молодежь
К
Компьютеры-и-электроника
Д
Дом-и-сад
С
Стиль-и-уход-за-собой
П
Праздники-и-традиции
Т
Транспорт
П
Путешествия
С
Семейная-жизнь
Ф
Философия-и-религия
Б
Без категории
М
Мир-работы
Х
Хобби-и-рукоделие
И
Искусство-и-развлечения
В
Взаимоотношения
З
Здоровье
К
Кулинария-и-гостеприимство
Ф
Финансы-и-бизнес
П
Питомцы-и-животные
О
Образование
О
Образование-и-коммуникации
KetrinDark
KetrinDark
18.05.2021 17:26 •  Математика

Известно, что уравнение x^2+px+q=100 имеет два различных целых корня, причём p и q — простые числа. найдите наибольшее возможное значение q.

👇
Ответ:
Дашка12156
Дашка12156
18.05.2021
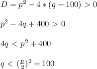
Уравнение x^2+px+q=100 или x^2 + px + (q-100) = 0 имеет 2 различных корня, если дискриминант больше нуля:

D = p^2 -4*(q-100) \ \textgreater \ 0 \\ \\ p^2 - 4q + 400 \ \textgreater \ 0 \\ \\ 4q \ \textless \ p^2 + 400 \\ \\ q \ \textless \ (\frac{p}{2} )^2 + 100

Т.к. p и q числа простые, то p д.б чётным, чтобы q получилось целым (натуральным). Но чётное простое число только одно - 2. Значит:

q \ \textless \ (\frac{2}{2} )^2 + 100 \\ \\ q \ \textless \ 1 + 100 \\ \\ q \ \textless \ 101

Ближайшее наибольшее простое число меньшее 101 - это число 97.

Итак, p = 2; q = 97
4,5(52 оценок)
Открыть все ответы
Ответ:
dianababitskay
dianababitskay
18.05.2021
1. Если один сказал правду, то все остальные соврали. Значит, только 1 ходил в кино. А)
2. ..., 1520, 2015, 2051, ... 1520+2051 = 3571 В)
3. 3x/4 = 4y/5y. 15х = 16у. х =у*(15/16). у + 15y/16 < 50; 31y/16 < 50; 31y < 800; y < 25,8. y = 25, 3x/4 = 4*25/5; 3x/4 = 20; x = 15; x+y = 40; Г)
4. В) все лампы не могут быть включены, т.к. для этого нужно иметь нечётное количество нажатий.
5. Макс разница = 6+3 = 9 минут. То есть нам надо получить разницу в часах в 9 минут. Это значит, что мин и макс часы = +-4 и +-5 минут. Получаем ответ Г) 2:59
4,5(32 оценок)
Ответ:
inan228
inan228
18.05.2021
1. маша сказала - никто; если она говорит правду, то она ходила в кино, следовательно она врет и кто-то ходил, а она не ходила
Сева если не врет, то ходил он один, а если врет, то более 1, и он не ходил.
Вася сказал 2, если это правда, то он ходил и еще Даша, т.к. предыдущие получается врут, а если он врет, то ходил только один и это Вася.
Даша автоматически врет.
был только Вася. ответ А. извините за сложный ответ.
2. а.3022 = 1502+1520 - соседи
г. 3625 = 1520+2105 между ними есть 2015
в. 3571 = 1520+2051 между ними есть 2015
ответ А
3. х+у <=50 , 3/4х=4/5у 15х=16у это возможно только при х = 16 и у = 15. ответ 16+15=31
4,4(95 оценок)
Это интересно:
Новые ответы от MOGZ: Математика
logo
Вход Регистрация
Что ты хочешь узнать?
Спроси Mozg
Открыть лучший ответ