М
Молодежь
К
Компьютеры-и-электроника
Д
Дом-и-сад
С
Стиль-и-уход-за-собой
П
Праздники-и-традиции
Т
Транспорт
П
Путешествия
С
Семейная-жизнь
Ф
Философия-и-религия
Б
Без категории
М
Мир-работы
Х
Хобби-и-рукоделие
И
Искусство-и-развлечения
В
Взаимоотношения
З
Здоровье
К
Кулинария-и-гостеприимство
Ф
Финансы-и-бизнес
П
Питомцы-и-животные
О
Образование
О
Образование-и-коммуникации
KavaiiGot
KavaiiGot
15.12.2021 10:35 •  Математика

Y= ln (x+y), y" - как решить? подскажите

👇
Ответ:
hdhdhdhsaiq
hdhdhdhsaiq
15.12.2021
Скан решения задания

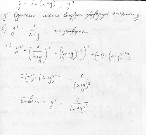
Y= ln (x+y), y - как решить? подскажите
4,8(42 оценок)
Ответ:
StepanEgorov
StepanEgorov
15.12.2021
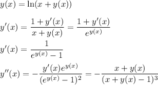
\displaystyle
y(x) = \ln(x+y(x))\\\\
y'(x) = \frac{1+y'(x)}{x+y(x)} = \frac{1+y'(x)}{e^{y(x)}}\\\\
y'(x) = \frac{1}{e^{y(x)}-1}\\\\
y''(x) = -\frac{y'(x)e^{y(x)}}{(e^{y(x)}-1)^2} = -\frac{x+y(x)}{(x+y(x)-1)^3}


4,4(62 оценок)
Открыть все ответы
Ответ:
Zlata2828
Zlata2828
15.12.2021

Пошаговое объяснение:

  Линейный угол двугранного угла образован лучами, проведенными в обеих плоскостях из одной точки перпендикулярно ребру.  ВА⊥ребру двугранного угла, АС - проекция ВА на вторую плоскость. ⇒ АС⊥ребру ( по т. о 3-х перпендикулярах). Угол ВАС=60°  Расстояние от точки до прямой - длина перпендикуляра, проведенного от точки к прямой. Перпендикуляр ВА=12 см. Расстояние от точки до плоскости измеряется длиной перпендикуляра, проведенного от точки к плоскости. ∆ АВС - прямоугольный. Искомое расстояние ВС=АВ•sin60°=6√3 см

4,7(83 оценок)
Ответ:
polinavak05
polinavak05
15.12.2021

24

Пошаговое объяснение:

Будем называть длину одной стороны квадрата по названию самого квадрата, но с маленькой буквы.

1. Периметр квадрата: длина стороны × 4. Длина стороны квадрата а = 36÷4 = 9.

2. А и В имеют общую сторону, значит, равны. a=b

3. Длина стороны большого прямоугольника равна:

а + b = 9+9=18

4. D и Е также имеют общую сторону, значит, равны. d=e

5. Длина стороны квадрата С равна:

с = e + d = 2e

6. Сторона e равна длине а+b (18) вычесть длину с (2e).

Составляем уравнение:

е = 18 - 2e

3e = 18

e = 18 ÷ 3

e = 6

7. Периметр квадрата Е = 6 × 4 = 24

4,5(51 оценок)
Это интересно:
Новые ответы от MOGZ: Математика
logo
Вход Регистрация
Что ты хочешь узнать?
Спроси Mozg
Открыть лучший ответ