М
Молодежь
К
Компьютеры-и-электроника
Д
Дом-и-сад
С
Стиль-и-уход-за-собой
П
Праздники-и-традиции
Т
Транспорт
П
Путешествия
С
Семейная-жизнь
Ф
Философия-и-религия
Б
Без категории
М
Мир-работы
Х
Хобби-и-рукоделие
И
Искусство-и-развлечения
В
Взаимоотношения
З
Здоровье
К
Кулинария-и-гостеприимство
Ф
Финансы-и-бизнес
П
Питомцы-и-животные
О
Образование
О
Образование-и-коммуникации
zarruxu
zarruxu
19.07.2020 13:44 •  Математика

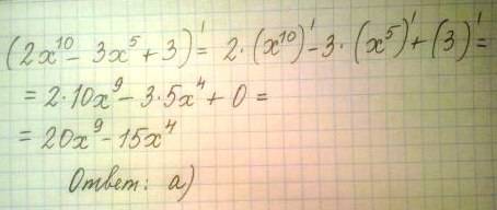
Вычислите (2x^10-3x^5+ 3) выберите один ответ: a. 20x^9 – 15x^4 b. 20x – 15 c. 2x^3– x^4 d. 20x^3 – 15x^4+3 ^ степень

👇
Ответ:
В условии есть за скобкой знак производной, в этом случае верным является ответ а)
Вычислите (2x^10-3x^5+ 3) выберите один ответ: a. 20x^9 – 15x^4 b. 20x – 15 c. 2x^3– x^4 d. 20x^3 –
4,8(100 оценок)
Открыть все ответы
Ответ:
soffia242004
soffia242004
19.07.2020

Даны уравнениям сторон треугольника:

11x+2y-21=0

8x-3y+7=0

3x+5y+21=0.

В уравнении перпендикулярной прямой коэффициенты А и В в уравнении вида Ах + Ву + С = 0 меняются на -В и А.

Возьмём первую сторону (пусть это АВ, получаем уравнение высоты из точки С: -2х + 11у + С = 0. Чтобы определить слагаемое С уравнения надо подставить координаты точки, через которую проходит прямая.

Находим вершины треугольника, решая системы из двух уравнений сторон. Точка А:

{11x+2y-21=0  |x(3)  =  33x + 6y - 63 = 0

{8x-3y+7=0    |x(2)  = 16x - 6y + 14 = 0  

                                  49x         - 49 = 0,   х = 49/49 = 1.

у = (21 - 11х)/2 = (21 - 11*1)/2 = 10/2 = 5.  Точка А(1; 5).

Аналогично определяем точки: В(3; -6) и С(-2; -3).

Теперь находим С в уравнении высоты из точки С.

-2*(-2) + 11*(-3) + С = 0,

С = 33 - 4 = 29. Уравнение  -2х + 11у + 29 = 0.

Аналогично находим уравнения высот из точек А и В.

Высота из точки А: -5х + 3у - 10 = 0,

             из точки В: 3х + 8у + 39 = 0.


Cоставить уравнения высот треугольника по уравнениям его сторон: 11x+2y-21=0 8x-3y+7=0 3x+5y+21=0 Ур
4,6(47 оценок)
Ответ:
lunenko2005
lunenko2005
19.07.2020

x+2/3 + 3-x/2=1

1) 2(x+2)+3(3-x)= 6

2) 2x+4+9-3x=6

3) 2x-3x=-4-9+6

4) -x= -13+6

5) -x=-7/:-1

6) x=7

ответ:7

Пошаговое объяснение:

и так, я пронумеровал пункты для наглядности.

1) нам нужно привести все к общему знаменателю, проще говоря найти такое число, которое в знаменателе во множителях будет одинаковым.

у нас есть (в знаменателе) 3, 2, 1. Следовательно, мы можем умножить 2х3 и общий знаменатель будет 6.

приводим к общему знаменателю

первое умножаем на 2 (и будет в знам. 6, может

его не писать), во втором умножаем на 3, а где единица умножаем на 6, потому что у единицы (мы его по сути представляем как 1/1) знаменатель 1. 1 умножить на 6 собственно 6. логично...

так как мы домножили на 2, 3 и 6 нужно нам решить все в числителе.

если многочлен (как в случаях ДО равно), то многочлен берём в скобки, а то число, на которое домножали ставим перед ней.

2) то что перед скобкой умножаем с содержимым скобки 2 умножаем на X, 2 умножаем на 2 и по аналогии дальше так же.

3) у нас получились значения с Х и обычные числа, натуральные числа переносим в право, а с иксами остаются с лева.

4) решаем линейное уравнение

5) у нас получился -х и мы просто делим на -1, чтобы избавиться от отрицательного знака у икса, знак соответственно меняется и у натурального числа права

сори что так много, просто пытался полность разжевать суть происходящего

4,6(87 оценок)
Это интересно:
Новые ответы от MOGZ: Математика
logo
Вход Регистрация
Что ты хочешь узнать?
Спроси Mozg
Открыть лучший ответ