М
Молодежь
К
Компьютеры-и-электроника
Д
Дом-и-сад
С
Стиль-и-уход-за-собой
П
Праздники-и-традиции
Т
Транспорт
П
Путешествия
С
Семейная-жизнь
Ф
Философия-и-религия
Б
Без категории
М
Мир-работы
Х
Хобби-и-рукоделие
И
Искусство-и-развлечения
В
Взаимоотношения
З
Здоровье
К
Кулинария-и-гостеприимство
Ф
Финансы-и-бизнес
П
Питомцы-и-животные
О
Образование
О
Образование-и-коммуникации
koptevartem050
koptevartem050
07.08.2020 14:35 •  Математика

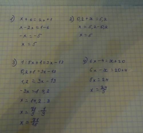
Плес: 1)х+6=2х+1; 2)0,2+х=5,2; 3)1/5х+1=3х-13; 4)6х-4=х+20

👇
Ответ:
elvin38
elvin38
07.08.2020
Плес: 1)х+6=2х+1; 2)0,2+х=5,2; 3)1/5х+1=3х-13; 4)6х-4=х+20
4,6(80 оценок)
Ответ:
vika8914
vika8914
07.08.2020
Вот правильный ответ
Плес: 1)х+6=2х+1; 2)0,2+х=5,2; 3)1/5х+1=3х-13; 4)6х-4=х+20
4,4(85 оценок)
Открыть все ответы
Ответ:
AlexIQ161
AlexIQ161
07.08.2020
В каждой из трёх фраз истинна только одна часть, а вторая ложна.
Если число оканчивается на 5 (т.е. делится на 5), то оно не может оканчиваться на 9. Значит, оно больше 20. Но тогда оно должно делиться на 12, потому что не может быть меньше 21. Однако, число, которое делится на 5 и на 12, равно 60 и кончается на 0.
Значит, наше предположение неверно, и число делится на 7.
Если оно оканчивается на 9, то это 49, оно больше 21 и не делится на 12. Опять не подходит. Значит, число делится на 7 и больше 20.
Тогда оно не меньше 21, и значит, должно делиться на 12.
Число, которое делится на 7 и на 12 - это 84. И оно больше 20.
4,6(28 оценок)
Ответ:
anton2015b
anton2015b
07.08.2020

1)При варке мясо теряет 35% своего веса.Сколько нужно взять сырного мяса, чтобы получить 520 грамм варённого?

 

Решение: потеря 35% означает, что 100-35=75% остается в результате

тогда:

520 гр = 75% 

х гр = 100%

520 гр * 100% /75% =  639.33 гр мяса требуется изначально

ответ 639.33 грамма

 

4)Когда у пастуха спросили сколько у него лошадей, он ответил что 60 лошадей пьют воду, а остальные 0,6 всех лошадей пасутся.Сколько лошадей в табуне?

 

60 лошадей это 1-0.6=0.4 от всего количества

тогда

60л = 0.4

Хл = 1

60*1/0.4 = 150 лошадей всего

ответ 150 Лошадей 

 

5) В классе 30 учащихся из них 17 занимаются в секции лыжников, а 11 в секции плавания и 3 в обеех секциях.Сколько учащихся этого класса не занимаются ни в одной из этих секций?

 

3 из 17 занимаются плаванием

значит только лыжами занимается 17-3=14 учеников

3 из 11 занимаются лыжами

значит только плаванием занимается 11-3=8 учеников

всего в секциях занимаются 14 лыжников + 8 плавцов +3 плавающих лыжника )))

итого в секциях занимаются 14+8+3=25 учеников

тогда 30-25=5 учеников которые не занимаются в секциях

ответ: 5

 

 

 

 

4,8(78 оценок)
Это интересно:
Новые ответы от MOGZ: Математика
logo
Вход Регистрация
Что ты хочешь узнать?
Спроси Mozg
Открыть лучший ответ