М
Молодежь
К
Компьютеры-и-электроника
Д
Дом-и-сад
С
Стиль-и-уход-за-собой
П
Праздники-и-традиции
Т
Транспорт
П
Путешествия
С
Семейная-жизнь
Ф
Философия-и-религия
Б
Без категории
М
Мир-работы
Х
Хобби-и-рукоделие
И
Искусство-и-развлечения
В
Взаимоотношения
З
Здоровье
К
Кулинария-и-гостеприимство
Ф
Финансы-и-бизнес
П
Питомцы-и-животные
О
Образование
О
Образование-и-коммуникации
German1224
German1224
09.11.2021 23:39 •  Математика

Непонятно с сокращением дробей: в) 20m-20nm 40 m г) a + 3a a

👇
Ответ:
Kirillpakharenko
Kirillpakharenko
09.11.2021
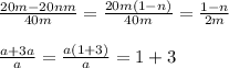
\frac{20m-20nm}{40m} = \frac{20m(1-n)}{40m} = \frac{1-n}{2m} \\ \\ \frac{a+3a}{a} = \frac{a(1+3)}{a} =1+3
4,7(54 оценок)
Открыть все ответы
Ответ:
vitalikkislov
vitalikkislov
09.11.2021

сначало раскрываем скобки: умножаем 8 на 2а ,и -6.Если два числа  положительные , значит знак плюс,если одно отрицательное,значит знак минус

Точно также делаем после знака =,умножаем 2 на 4а и на 3

8(2а-6)=2(4а+3)

16а-48=8а+6

теперь с буквой а,переносим из правой части в левую часть и меняем знак на противоположный,а числа без буквы а,переносим из левой части в правую и тоже

меняем знак на противоположный и решаем уравнение

16а-8а=48+6

8а=54

а=54:8

а=6,75

можно проверить,подставить значение а

8(2а-6)=2(4а+3)

8(2*6.75-6)=2(4*6.75+3)

60=60

значит решили правильно

 

4,7(66 оценок)
Ответ:
ffjuee
ffjuee
09.11.2021

сначало раскрываем скобки: умножаем 8 на 2а ,и -6.Если два числа  положительные , значит знак плюс,если одно отрицательное,значит знак минус

Точно также делаем после знака =,умножаем 2 на 4а и на 3

8(2а-6)=2(4а+3)

16а-48=8а+6

теперь с буквой а,переносим из правой части в левую часть и меняем знак на противоположный,а числа без буквы а,переносим из левой части в правую и тоже

меняем знак на противоположный и решаем уравнение

16а-8а=48+6

8а=54

а=54:8

а=6,75

можно проверить,подставить значение а

8(2а-6)=2(4а+3)

8(2*6.75-6)=2(4*6.75+3)

60=60

значит решили правильно

 

4,4(55 оценок)
Это интересно:
Новые ответы от MOGZ: Математика
logo
Вход Регистрация
Что ты хочешь узнать?
Спроси Mozg
Открыть лучший ответ