М
Молодежь
К
Компьютеры-и-электроника
Д
Дом-и-сад
С
Стиль-и-уход-за-собой
П
Праздники-и-традиции
Т
Транспорт
П
Путешествия
С
Семейная-жизнь
Ф
Философия-и-религия
Б
Без категории
М
Мир-работы
Х
Хобби-и-рукоделие
И
Искусство-и-развлечения
В
Взаимоотношения
З
Здоровье
К
Кулинария-и-гостеприимство
Ф
Финансы-и-бизнес
П
Питомцы-и-животные
О
Образование
О
Образование-и-коммуникации
bos002
bos002
02.10.2021 18:42 •  Математика

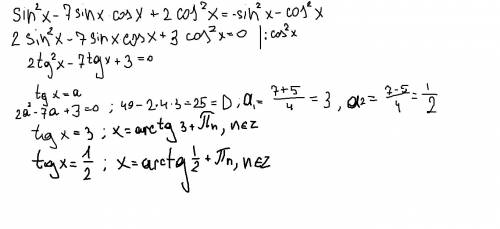
Sin²x-7sinx*cosx+2cos²x=-1 решить уравнение

👇
Ответ:
koshuba2017
koshuba2017
02.10.2021
Вот, вроде правильно сделал

Sin²x-7sinx*cosx+2cos²x=-1 решить уравнение
4,8(26 оценок)
Открыть все ответы
Ответ:
aminatikhonova12
aminatikhonova12
02.10.2021

найдем расстояние между велосипедистами когда стартовал второй

(12+14)×0,5=18 км

теперь общее расстояние равно сумме расстояние между велосипедистами когда второй стартовал и расстояние за которое первый велосипедист преодолел за час

12×1=12 км расстояние преодоленное первым велосипедистом за час

12+18=30 км расстояние от А до В

30÷12=2,5 ч  и 2,5 ч >2 ч ⇒первый не успеет преодолеть

30÷18=1,6 ч  и  1,6 ч<2 ч второй успеет первым преодолеть расстояние за 2 часа

ответ: 30 км второй велосипедист успеет преодолеть все расстояние за 2 часа первым

4,4(70 оценок)
Ответ:
feho
feho
02.10.2021

найдем расстояние между велосипедистами когда стартовал второй

(12+14)×0,5=18 км

теперь общее расстояние равно сумме расстояние между велосипедистами когда второй стартовал и расстояние за которое первый велосипедист преодолел за час

12×1=12 км расстояние преодоленное первым велосипедистом за час

12+18=30 км расстояние от А до В

30÷12=2,5 ч  и 2,5 ч >2 ч ⇒первый не успеет преодолеть

30÷18=1,6 ч  и  1,6 ч<2 ч второй успеет первым преодолеть расстояние за 2 часа

ответ: 30 км второй велосипедист успеет преодолеть все расстояние за 2 часа первым

4,7(27 оценок)
Это интересно:
Новые ответы от MOGZ: Математика
logo
Вход Регистрация
Что ты хочешь узнать?
Спроси Mozg
Открыть лучший ответ