М
Молодежь
К
Компьютеры-и-электроника
Д
Дом-и-сад
С
Стиль-и-уход-за-собой
П
Праздники-и-традиции
Т
Транспорт
П
Путешествия
С
Семейная-жизнь
Ф
Философия-и-религия
Б
Без категории
М
Мир-работы
Х
Хобби-и-рукоделие
И
Искусство-и-развлечения
В
Взаимоотношения
З
Здоровье
К
Кулинария-и-гостеприимство
Ф
Финансы-и-бизнес
П
Питомцы-и-животные
О
Образование
О
Образование-и-коммуникации
Aidan23
Aidan23
16.07.2022 15:20 •  Математика

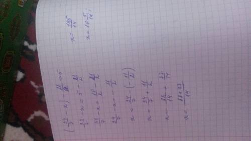
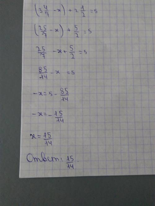
Реши уравнение (3 4/7 - x) + 2 1/2 = 5

👇
Ответ:
fedrpopov5
fedrpopov5
16.07.2022
Решение на фотографии
Реши уравнение (3 4/7 - x) + 2 1/2 = 5
4,4(52 оценок)
Ответ:
olyacolesnik20
olyacolesnik20
16.07.2022
Оооооооооооооотттттттттттттттввввввввввввввввееееееееееееттттттттттттттттттт    145/14
Реши уравнение (3 4/7 - x) + 2 1/2 = 5
4,5(31 оценок)
Открыть все ответы
Ответ:
plalallalalalal
plalallalalalal
16.07.2022
Дана функция y=x^4-2x^3-12x^2+24x+8.
Находим y' = 4x³ - 6x² - 24x + 24 и приравняем нулю.
4x³ - 6x² - 24x + 24 = 0, сократим на 2: 2x³ - 3x² - 12x + 12 = 0.
Решение кубического уравнения довольно громоздкое.
Корни: х = -2,2818, х = 0,91825 и х = 2,8636.
Имеем 4 промежутка монотонности функции:
(-∞; -2,2818), (-2,2818; 0,91825), (0,91825; 2,8636) и (2,8636; +∞).
Находим знаки производной на этих промежутках).
x =   -3        -2,2818         0          0,91825        2       2,8636         3
y' = -66             0            24                0          -16           0             6.
Где производная положительна - функция возрастает, где отрицательна - там убывает. 
Убывает на промежутках (-∞; -2,2818) и (0,91825; 2,8636).
Возрастает на промежутках (-2,2818; 0,91825) и (2,8636; +∞).
 
4,5(48 оценок)
Ответ:
ÝourFunnyĆat
ÝourFunnyĆat
16.07.2022
Оу, что это за блестящая пыльца в баночке?)) Спросила я у вахтерши, которая в гостинной охраняла эту самую заветную баночку.
Это волшебная пыльца для отличников! С гордостью ответила вахтерша.
А можно мне воспользоваться ей, ведь я почти отличница?!))
Вахтерша взглянув на меня из подо лба, громко ответила нет! И добавила, это только для отличников!
Ну блин, с сожалением сказала я, тогда может Вы немного посыпьте мне этой пыльцы на голову и я на некоторое время превращусь в отличницу? Уж очень хочется испробовать на себе свойства этой пыльцы...
Но вахтерша была непреклонна и вызвала на подмогу охрану... Конец.
4,4(96 оценок)
Это интересно:
Новые ответы от MOGZ: Математика
logo
Вход Регистрация
Что ты хочешь узнать?
Спроси Mozg
Открыть лучший ответ