М
Молодежь
К
Компьютеры-и-электроника
Д
Дом-и-сад
С
Стиль-и-уход-за-собой
П
Праздники-и-традиции
Т
Транспорт
П
Путешествия
С
Семейная-жизнь
Ф
Философия-и-религия
Б
Без категории
М
Мир-работы
Х
Хобби-и-рукоделие
И
Искусство-и-развлечения
В
Взаимоотношения
З
Здоровье
К
Кулинария-и-гостеприимство
Ф
Финансы-и-бизнес
П
Питомцы-и-животные
О
Образование
О
Образование-и-коммуникации
Cr4zyvlad
Cr4zyvlad
21.04.2020 08:34 •  Математика

При каких значений параметра а оба корня квадратного трехчлена x^2 + 2(a+1)x + 9a-5 отрицательны?

👇
Ответ:
0трупики0
0трупики0
21.04.2020
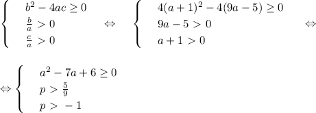
По теореме Виета корни квадратного уравнения квадратного трехчлена ax^2+bx+c существуют оба отрицательны тогда и только тогда, когда

\begin{cases}
 & \text{ } b^2-4ac \geq 0 \\ 
 & \text{ } \frac{b}{a} \ \textgreater \ 0\\ 
 & \text{ } \frac{c}{a} \ \textgreater \ 0
\end{cases}~~~\Leftrightarrow~~~\begin{cases}
 & \text{ } 4(a+1)^2-4(9a-5) \geq 0 \\ 
 & \text{ } 9a-5\ \textgreater \ 0 \\ 
 & \text{ } a+1\ \textgreater \ 0
\end{cases}~~~~\Leftrightarrow\\ \\ \\ \Leftrightarrow\begin{cases}
 & \text{ } a^2-7a+6 \geq 0 \\ 
 & \text{ } p\ \textgreater \ \frac{5}{9} \\ 
 & \text{ } p\ \textgreater \ -1 
\end{cases}

откуда получим \left[\begin{array}{ccc} \frac{5}{9}\ \textless \ p \leq 1,\\ p \geq 6 \end{array}\right
4,6(74 оценок)
Открыть все ответы
Ответ:
valeriehunt
valeriehunt
21.04.2020
1) f(x)=−2x³+xТочки пересечения с осью координат YГрафик пересекает ось Y, когда x равняется 0:
подставляем x = 0 в x - 2*x^3.
Результат:
f(0)=0Точка:
(0, 0)
График пересекает ось X, когда y равняется 0:
подставляем  0 = x - 2x³ = x(1 - 2x²).
Отсюда имеем 3 точки пересечения с осью Ох:
х = 0, х = 1/√2 и х = -1/√2.
f = -2*x^3 + xДля того, чтобы найти экстремумы, нужно решить уравнениеf'(x)=0 (производная равна нулю), и корни этого уравнения будут экстремумами данной функции:f'(x)= −6x²+1=0Решаем это уравнение
Корни этого уравнения
x1=−1/√6x2=1/√6
Значит, экстремумы в точках:  (-0.40825;-0.27217)
(0.408248; 0.27217).
Интервалы возрастания и убывания функции:
Найдём интервалы, где функция возрастает и убывает, а также минимумы и максимумы функции, для этого смотрим как ведёт себя функция в экстремумах при малейшем отклонении от экстремума:
х =               -0.5   -0.40825   -0.3     0.3     0.408248     0.5
y' =-6x^2+1   -0.5         0        0.46   0.46           0          -0.5.
Где производная меняет знак с - на + это минимум, а где с + на - это максимум.
Минимум функции в точке:
x1=−1/√6.

Максимум функции в точке:
x2=1/√6.

Убывает на промежутках [-sqrt(6)/6, sqrt(6)/6]
Возрастает на промежутках
(-oo, -sqrt(6)/6] U [sqrt(6)/6, oo)Найдем точки перегибов, для этого надо решить уравнение
f''(x)=0(вторая производная равняется нулю),
корни полученного уравнения будут точками перегибов для указанного графика функции,
f''(x)=−12x=0.Решаем это уравнение
Корни этого уравнения
x1=0Интервалы выпуклости и вогнутости:
Найдём интервалы, где функция выпуклая или вогнутая, для этого посмотрим, как ведет себя функция в точках перегибов:
Вогнутая на промежутках
(-oo, 0]
Выпуклая на промежутках
[0, oo)Горизонтальные асимптотыГоризонтальные асимптоты найдём с пределов данной функции при x->+oo и x->-oo
limx→−∞(−2x3+x)=∞limx→−∞(−2x3+x)=∞
значит,
горизонтальной асимптоты слева не существует
limx→∞(−2x3+x)=−∞limx→∞(−2x3+x)=−∞
значит, горизонтальной асимптоты справа не существуетНаклонную асимптоту можно найти, подсчитав предел функции x - 2*x^3, делённой на x при x->+oo и x->-oo
limx→−∞(1x(−2x3+x))=−∞limx→−∞(1x(−2x3+x))=−∞
значит, наклонной асимптоты слева не существует
limx→∞(1x(−2x3+x))=−∞limx→∞(1x(−2x3+x))=−∞
значит, наклонной асимптоты справа не существуетЧётность и нечётность функции
Проверим функцию чётна или нечётна с соотношений f = f(-x) и f = -f(-x).
Итак, проверяем:
 x - 2*x³ = -x + 2*x³
- Нет
x - 2*x³ = -x - 2*x³
- Нет, значит, функция не является ни чётной, ни нечётной.

2)Решить систему уравнений:
x+y-3z= -1      2x+2y-6z= -2       2x-3y+z=0       4x+4y-12z=-4
2x-3y+z=0      -2x+3y-z=0          4x+3y-2z=5    -4x-3y+ 2z =-5
4x+3y-2z=5    ------------------     ---------------     ------------------
                           5у -7z = -2     6x - z     =5           y -10z =-9

5у -7z = -2          5у -7z =  -2      6x=z+5                y = 10z -9 
 y -10z =-9         -5y+50z = 45     x=(1+5)/6 = 1.     y= 10*1-9=1.
                         ----------------
                                43z = 43
                                    z = 1.
ответ: x = 1, y = 1,  z = 1.

3)вычислить интеграл (5x^2-9)dx.
\int\limitsb {(5x^2-9)} \, dx = \frac{5x^3}{3} -9x+C.

1)исследовать функцию и построить график: y=x-2x^3 2)решить систему уравнений: x+y-3z= -1 2x-3y+z=0
4,4(61 оценок)
Ответ:
JamesBond007007007
JamesBond007007007
21.04.2020
4log₂x+log₂(y+1)=6   log₂x⁴+log₂(y+1)=6    log₂(x⁴*(y+1))=6
log₂x+log₂(y+1)=2     log₂(x*(y+1))=2          log₂(x*(y+1))=log₂2²

log₂(x⁴(y+1))=log₂2⁶     ОДЗ: x⁴(y+1)>0   x⁴>0       x>0
log₂(x(y+1)=log₂4                   x(y+1)>0                   x<0
                                                                 x>0         x>0
                                                                 y+1>0     y>-1
                                                       x∈(0;+∞)   y∈(-1;+∞)

x⁴(y+1)=2⁶    x⁴(y+1)=64    x⁴*(4/x)=64    4x³=64   x³=16   x=2∛2
x(y+1)=4       y+1=4/x                                        

y+1=4/(2∛2)     y=2/∛2-1
4,6(19 оценок)
Это интересно:
Новые ответы от MOGZ: Математика
logo
Вход Регистрация
Что ты хочешь узнать?
Спроси Mozg
Открыть лучший ответ