М
Молодежь
К
Компьютеры-и-электроника
Д
Дом-и-сад
С
Стиль-и-уход-за-собой
П
Праздники-и-традиции
Т
Транспорт
П
Путешествия
С
Семейная-жизнь
Ф
Философия-и-религия
Б
Без категории
М
Мир-работы
Х
Хобби-и-рукоделие
И
Искусство-и-развлечения
В
Взаимоотношения
З
Здоровье
К
Кулинария-и-гостеприимство
Ф
Финансы-и-бизнес
П
Питомцы-и-животные
О
Образование
О
Образование-и-коммуникации
nikitka1011
nikitka1011
30.11.2020 08:50 •  Математика

1) 3|х|+|х|=20 2) 5|x|-3|x|=33 3) 19|x|-17=16|x| 4) 42-63|x|=65|x|

👇
Ответ:
afsanka98
afsanka98
30.11.2020
1)
3*|x|+|x|=20\\
4*|x|=20\\
|x|=\frac{20}{4}\\
|x|=5\\
x=5 или x=-5
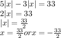
2)
5|x|-3|x|=33\\
2|x|=33\\
|x|=\frac{33}{2}\\
x=\frac{33}{2} or x=-\frac{33}{2}
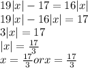
3) 
19|x|-17=16|x|\\
19|x|-16|x|=17\\
3|x|=17\\
|x|=\frac{17}{3}\\
x=\frac{17}{3} or x=\frac{17}{3}
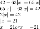
4)
42-63|x|=65|x|\\
65|x|-63|x|=42\\
2|x|=42\\
|x|=21\\
x=21 or x=-21
4,6(84 оценок)
Открыть все ответы
Ответ:
DFleX
DFleX
30.11.2020
1) 22/21 -21/22 = 43/462
Приведем к общему знаменателю  (первую дробь умножим на 22, вторую на 21) :
=  22*22 / 21*22  -  21*21 / 22*21 =  (484-441) / 462 = 43 / 462 
2) 8  3/4 - 4 =  4  3 /4
3) 1 1/2 - 1/3 = 1  1/6
 Переведем 1 1/2 в неправильную дробь (1*2+1) /2 :
=  3/2 - 1/3 =
Приведем к общему знаменателю 6:
= 3*3 /2*3 - 1*2 /2*3 =
 = (9-2) /6 = 7/6 = 1 1/6
4) 10  5/8 - 3 5/6 = 6 19/24
Переведем  в неправильные дроби: 10 5/8 = (10*8+5) /  8 = 85/8 ,  
3 5/6 =  (3*6 +5 ) /6 =23/6
Решаем дальше:  85/8 +23 /6 = 
Приведем к общему знаменателю  24 , первую дробь *3 , вторую *4:
(85*3) / 8*3 + (23*4) /6*4  =(255-92) / 24=  163/24 
Выделим целую часть: 163/24 =  6  19/24
5) 5/12 * 7/8 = 5*7 / 12*8 = 35 / 96 
4,8(7 оценок)
Ответ:
DaiDZ
DaiDZ
30.11.2020
Правило сравнения дробей с одинаковыми знаменателями: из двух дробей с одинаковыми знаменателями больше та дробь, числитель которой больше, и меньше та дробь, числитель которой меньше.

Сравнение дробей с разными знаменателями можно свести к сравнению дробей с одинаковыми знаменателями. Для этого лишь нужно сравниваемые обыкновенные дроби привести к общему знаменателю. Итак, чтобы сравнить две дроби с разными знаменателями, нужно:
1. Привести дроби к общему знаменателю;
2. Сравнить полученные дроби с одинаковыми знаменателями.

Правило сравнения дробей с одинаковыми числителями: из двух дробей с одинаковыми числителями больше та, у которой меньше знаменатель, и меньше та дробь, знаменатель которой больше.

Сравнение обыкновенной дроби с натуральным числом сводится к сравнению двух дробей, если число записать в виде дроби со знаменателем 1 ( Например, число 9 можно представить как дробь 9/1 и т.д.)
4,4(86 оценок)
Это интересно:
Новые ответы от MOGZ: Математика
logo
Вход Регистрация
Что ты хочешь узнать?
Спроси Mozg
Открыть лучший ответ