М
Молодежь
К
Компьютеры-и-электроника
Д
Дом-и-сад
С
Стиль-и-уход-за-собой
П
Праздники-и-традиции
Т
Транспорт
П
Путешествия
С
Семейная-жизнь
Ф
Философия-и-религия
Б
Без категории
М
Мир-работы
Х
Хобби-и-рукоделие
И
Искусство-и-развлечения
В
Взаимоотношения
З
Здоровье
К
Кулинария-и-гостеприимство
Ф
Финансы-и-бизнес
П
Питомцы-и-животные
О
Образование
О
Образование-и-коммуникации
Julia777Nyar
Julia777Nyar
16.11.2022 05:19 •  Математика

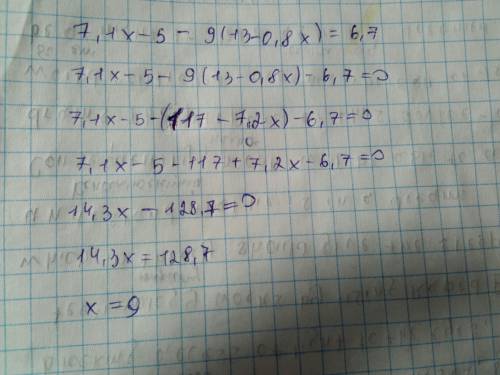
При каком значении х значение выражения 9(13-0,8х) на6,7 меньше назначение выражения 7,1х-5

👇
Ответ:
lady198026
lady198026
16.11.2022
ответ увидишь на фото ниже
При каком значении х значение выражения 9(13-0,8х) на6,7 меньше назначение выражения 7,1х-5
4,7(62 оценок)
Открыть все ответы
Ответ:
Sofia667
Sofia667
16.11.2022

   Рисунок во вложении.

1. Нарисовать две прямые а и b.

2. Совместить сторону (катет) прямого угла угольника с прямой а, а к другой стороне (катету) приложить линейку.

3. Двигать угольник по линейке до прямой b.

4. Проверить, если та сторона, которая была совмещена с прямой а, совмещается, также, и с прямой b.

     Если совмещается, то прямые параллельны, если нет - то не параллельны.

    На рисунке видно, что сторона угольника не совместилась с прямой b, значит эти прямые не параллельны.

   ответ: построение параллельных прямых неточное,  a ∦ b.

                При данной проверке подтвеждается правило параллельности прямых: " Если две прямые на плоскости перпендикулярны третьей прямой, то они параллельны."

      В роли третьей прямой выступает линейка, а угольник проверяет, если углы пересечения прямых а и b с линейкой равны.


Нарисуйте от руки параллельные прямые обозначьте их проверьте с линейки и угольника точность построе
4,5(90 оценок)
Ответ:
valeriy3fors
valeriy3fors
16.11.2022

Пошаговое объяснение:

смотрите

при каждом распиле одного бревна  получается на чурбаков на 1 больше чурбаков, чем распилов

1 бревно - 2 чурбака на 1 распил;  3 чурбака на 2 распила, 4 чурбака на 3 распила,

2 бревна - 3 чурбака на 1 распил, 4 чурбака на 2 распила, 5 чурбаков на 3 распила

т.е всегда кол-во чурбаков  = кол-во бревен +кол-во распилов

у нас

кол-во чурбаков = 8

кол-во бревен = х

кол-во распилов = 5

получим

8 = х +5

отсюда х = 3

было 3 бревна (по 2 распила на первом и втором и 1 распил на третьем)

4,8(27 оценок)
Это интересно:
logo
Вход Регистрация
Что ты хочешь узнать?
Спроси Mozg
Открыть лучший ответ