М
Молодежь
К
Компьютеры-и-электроника
Д
Дом-и-сад
С
Стиль-и-уход-за-собой
П
Праздники-и-традиции
Т
Транспорт
П
Путешествия
С
Семейная-жизнь
Ф
Философия-и-религия
Б
Без категории
М
Мир-работы
Х
Хобби-и-рукоделие
И
Искусство-и-развлечения
В
Взаимоотношения
З
Здоровье
К
Кулинария-и-гостеприимство
Ф
Финансы-и-бизнес
П
Питомцы-и-животные
О
Образование
О
Образование-и-коммуникации
alinahan444
alinahan444
22.12.2020 12:00 •  Математика

Наидите значение выражения: |-7,2| + |3,4| = |-1,7| - |-0,8|= |-1,6|×|-6,4|=

👇
Ответ:
Zxcvbnm900
Zxcvbnm900
22.12.2020
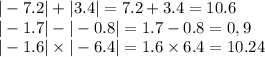
| - 7.2| + |3.4| = 7.2 + 3.4 = 10.6 \\ | - 1.7| - | - 0.8| = 1.7 - 0.8 = 0,9 \\ | - 1.6| \times | - 6.4| = 1.6 \times 6.4 = 10.24
4,8(73 оценок)
Ответ:
rudenko232015
rudenko232015
22.12.2020
|– 7.2| + |3.4|
7.2 + 3.4
10.6

|– 1.7| – |– 0.8|
1.7 – 0.8
0.9

|– 1.6| • |– 6.4|
1.6 • 6.4
10.24
4,7(94 оценок)
Открыть все ответы
Ответ:
Обособление – это смысловое и интонационное выделение второстепенных членов предложения с целью придать им некоторую самостоятельность в предложении, увеличить их смысловую нагрузку. Обособленные члены предложения выделяются интонацией, чем подчеркивается их особое значение среди других второстепенных членов как средства усиления выразительности речи.
В предложении обособленные члены играют двойную роль – они являются второстепенными членами и одновременно выражают добавочное сообщение, при этом причастия и деепричастия выступают в качестве второстепенных сказуемых.
Паузы, выделяющие обособленные обороты, как бы замедляют нашу речь, делают ее более плавной. Это вполне уместно, если соответствует содержанию высказывания. Предложения с обособленными оборотами позволяют дать больше информации меньшим количеством предложений. Употребление обособленных оборотов требует чувства меры. Большое количество их затрудняет восприятие основного сообщения. Обособленные обороты тяготеют к книжным стилям.
Обособленные определения нередко употребляются для усиления образной, эмоциональной значимости. Они не только увидеть, но и рассмотреть диковинную (удивительную) красоту предмета, явления.
Обособленные определения придают тексту особую смысловую емкость и выразительность.
– Обособляются определения после определяемого слова, состоящие из двух нераспространенных однородных прилагательных или причастий.
– С обособленных определений вносятся дополнительные сведения в предложения. Обособленные определения придают речи особую выразительность, с особой экспрессией выделяют важные детали.
– Обособленные определения характерны для всех стилей, кроме разговорного. Обособленные определения в научной и деловой речи – прием сжатого, компактного выражения мысли и как средство разнообразия речи.
Обособление членов предложения является одним из стилистических средств, благодаря чему они становятся более значимыми, а передаваемое сообщение приобретает смысловую точность.
4,7(52 оценок)
Ответ:
kk64
kk64
22.12.2020
Обособление – это смысловое и интонационное выделение второстепенных членов предложения с целью придать им некоторую самостоятельность в предложении, увеличить их смысловую нагрузку. Обособленные члены предложения выделяются интонацией, чем подчеркивается их особое значение среди других второстепенных членов как средства усиления выразительности речи.
В предложении обособленные члены играют двойную роль – они являются второстепенными членами и одновременно выражают добавочное сообщение, при этом причастия и деепричастия выступают в качестве второстепенных сказуемых.
Паузы, выделяющие обособленные обороты, как бы замедляют нашу речь, делают ее более плавной. Это вполне уместно, если соответствует содержанию высказывания. Предложения с обособленными оборотами позволяют дать больше информации меньшим количеством предложений. Употребление обособленных оборотов требует чувства меры. Большое количество их затрудняет восприятие основного сообщения. Обособленные обороты тяготеют к книжным стилям.
Обособленные определения нередко употребляются для усиления образной, эмоциональной значимости. Они не только увидеть, но и рассмотреть диковинную (удивительную) красоту предмета, явления.
Обособленные определения придают тексту особую смысловую емкость и выразительность.
– Обособляются определения после определяемого слова, состоящие из двух нераспространенных однородных прилагательных или причастий.
– С обособленных определений вносятся дополнительные сведения в предложения. Обособленные определения придают речи особую выразительность, с особой экспрессией выделяют важные детали.
– Обособленные определения характерны для всех стилей, кроме разговорного. Обособленные определения в научной и деловой речи – прием сжатого, компактного выражения мысли и как средство разнообразия речи.
Обособление членов предложения является одним из стилистических средств, благодаря чему они становятся более значимыми, а передаваемое сообщение приобретает смысловую точность.
4,7(91 оценок)
Новые ответы от MOGZ: Математика
logo
Вход Регистрация
Что ты хочешь узнать?
Спроси Mozg
Открыть лучший ответ