М
Молодежь
К
Компьютеры-и-электроника
Д
Дом-и-сад
С
Стиль-и-уход-за-собой
П
Праздники-и-традиции
Т
Транспорт
П
Путешествия
С
Семейная-жизнь
Ф
Философия-и-религия
Б
Без категории
М
Мир-работы
Х
Хобби-и-рукоделие
И
Искусство-и-развлечения
В
Взаимоотношения
З
Здоровье
К
Кулинария-и-гостеприимство
Ф
Финансы-и-бизнес
П
Питомцы-и-животные
О
Образование
О
Образование-и-коммуникации
latiff
latiff
24.11.2021 12:25 •  Математика

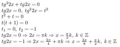
Решите уравнения: 1) tg^2*2x-tg 2x=0 2)sin^2x-4sinx*cosx+3cos^2x =0

👇
Ответ:
aigulzhan
aigulzhan
24.11.2021
2)sin^2x-4sinx*cosx+3cos^2x=0  |  : cos^2x
tg^2x-4tgx+3=0
tgx=t
t^2-4t+3=0
D=16-12=4  ;sqrt(4)=2
t1=(4+2)/2=3
t2=(4-2)/2=1

x1=arctg(3)+Pi*n , n∈Z
x2=Pi/4+Pi*k , k∈Z

Решите уравнения: 1) tg^2*2x-tg 2x=0 2)sin^2x-4sinx*cosx+3cos^2x =0
4,4(89 оценок)
Открыть все ответы
Ответ:
rran
rran
24.11.2021
1)
 200720072007 : 200720072007= 1 
 200720072007· 1 = 200720072007
ответ: да может 
2)коля-х
аня х+2
петя-х
маша х-4
х+х+2+х+х-4=75
4х-2=75
4х=75+2
4х=77
х=77/4
х=19,25
берем за х целое число 19
допустим Коля собрал 19 грибов
Аня 19+2=21 грибов
Петя -19 грибов
Маша 19-4=15 грибов
19+21+19+15=74, может так?
3)
Стерев одно нечетное число, мы получим обратную четность суммы. То есть, в первом случае, сумма станет нечетной, а во втором - четной. Поэтому у 2008-ми нечетных чисел нельзя стереть одно число, чтоб получилась четная сумма.
Если числа разной четности, то достаточно стереть четное число, чтоб сохранить четность суммы, или нечетное число, чтоб ее изменить.
4,6(63 оценок)
Ответ:
котик963
котик963
24.11.2021

числа могут быть или четными или нечетными

Результат 2019 нечетный

Нечетный результат может получиться только при произведении двух нечетных чисел, в остальных случаях результат четный

Рассмотрим варианты

1. оба четных

сумма четная, произведение четное

произведение суммы на произведение - четное

2. одно четное одно нечетное

сумма нечетное , произведение четное

произведение суммы на произведение - четное

3. оба нечетных

сумма четная, произведение нечетное

произведение суммы на произведение - четное

ответ НЕТ во всех вариантах четное произведение, нечетного быть не может

4,4(74 оценок)
Новые ответы от MOGZ: Математика
logo
Вход Регистрация
Что ты хочешь узнать?
Спроси Mozg
Открыть лучший ответ