М
Молодежь
К
Компьютеры-и-электроника
Д
Дом-и-сад
С
Стиль-и-уход-за-собой
П
Праздники-и-традиции
Т
Транспорт
П
Путешествия
С
Семейная-жизнь
Ф
Философия-и-религия
Б
Без категории
М
Мир-работы
Х
Хобби-и-рукоделие
И
Искусство-и-развлечения
В
Взаимоотношения
З
Здоровье
К
Кулинария-и-гостеприимство
Ф
Финансы-и-бизнес
П
Питомцы-и-животные
О
Образование
О
Образование-и-коммуникации
viktorius1
viktorius1
28.12.2022 23:33 •  Математика

Напишите уравнение касательной проведенной через точку с абсциссой х0=0 к графику функции f(x)=4х^2-х

👇
Ответ:
jcgddrMarins
jcgddrMarins
28.12.2022
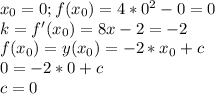
Найдем уравнение касательной в виде:
y=kx+c
в точке с абсциссой x_{0} =0; f(x_0)=4*0^{2}-0=0 \\ 
k=f'(x_{0})=8x-2=-2 \\ 
f(x_0)=y(x_{0})=-2*x_{0}+c \\ 
0=-2*0+c \\ 
c=0

Таким образом^
y=-2x - искомая касательная
4,6(91 оценок)
Открыть все ответы
Ответ:
vitaly1552
vitaly1552
28.12.2022

ответ: x=-3.

Пошаговое объяснение:

Данная функция определена и непрерывна на всей числовой оси. Находим её производную: y'=2*(x+3)*(x-2)+(x+3)²=3*x²+8*x-3. Приравнивая её к нулю, получаем квадратное уравнение 3*x²+8*x-3=0, которое имеет решения x1=1/3 и x2=-3. Значит, функция имеет две критические точки: x1=1/3 и x2=-3. Если x<3, то y'>0, поэтому на интервале (-∞;-3) функция возрастает. Если -3<x<1/3, то y'<0, так что на интервале (-3;1/3) функция убывает. Наконец, если x>1/3, то y'>0, поэтому на интервале (1/3;∞) функция возрастает. Значит, точка x=-3 является точкой максимума, а точка x=1/3 - точкой минимума.

4,5(46 оценок)
Ответ:

Пусть х мешков цемента - выгрузила вторая бригада, тогда х+1358 мешков цемента - выгрузила первая бригада. Вместе они выгрузили 27236 мешков цемента. Составим уравнение:

x + x + 1358 = 27236

2x = 27236 - 1358

2x = 25878

x = 12939

12939 мешков цемента - выгрузила вторая бригада.

12939+1358=14297 мешков цемента - выгрузила первая бригада.

ответ: 14297 мешков цемента; 12939 мешков цемента.

1) 27236 - 1358 = 25878 мешков цемента - если бы выгрузили поровну.

2) 25878 : 2 = 12939 мешков цемента - выгрузила вторая бригада.

3) 12939 + 1358 = 14297 мешков цемента - выгрузила первая бригада.

ответ: 14297 мешков цемента; 12939 мешков цемента.

4,6(1 оценок)
Это интересно:
Новые ответы от MOGZ: Математика
logo
Вход Регистрация
Что ты хочешь узнать?
Спроси Mozg
Открыть лучший ответ