М
Молодежь
К
Компьютеры-и-электроника
Д
Дом-и-сад
С
Стиль-и-уход-за-собой
П
Праздники-и-традиции
Т
Транспорт
П
Путешествия
С
Семейная-жизнь
Ф
Философия-и-религия
Б
Без категории
М
Мир-работы
Х
Хобби-и-рукоделие
И
Искусство-и-развлечения
В
Взаимоотношения
З
Здоровье
К
Кулинария-и-гостеприимство
Ф
Финансы-и-бизнес
П
Питомцы-и-животные
О
Образование
О
Образование-и-коммуникации
Andy2511
Andy2511
28.12.2020 15:41 •  Математика

Тело движется с переменной скоростью v(t)=3t+1 в течении 6с. найти перемещение тела за последние 2 секунды движения

👇
Ответ:
медведь44
медведь44
28.12.2020
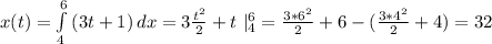
Перемещение x(t)  за время от 4 до 6 секунд можно найти как:
x(t)= \int\limits^6_4 {v(t)}\, dx
x(t)= \int\limits^6_4 {(3t+1)}\, dx =3 \frac{t^2}{2} +t \ |^6_4= \frac{3*6^2}{2}+6 -( \frac{3*4^2}{2}+4)=32

ответ: 32
4,5(81 оценок)
Открыть все ответы
Ответ:
andrey43201
andrey43201
28.12.2020
Юпітер – найбільша планета нашої системи і відомий за його «велику червону пляму» – тривалий шторм на поверхні Юпітера. Проте в цій планеті є й інші цікаві якості, і вчені вважають, що вона дуже важлива для нашої безпеки.

Причиною цьому є величезний розмір Юпітера і гравітаційна сила, що діє як захисний бар’єр, який огороджує Землю від космічного сміття, притягаючи небезпечні предмети на свою орбіту, до того як вони доберуться до нас. Француз П’єр-Симон Лаплас (Pierre-Simon Laplace) виявив комету, яка, здавалося б, прямувала до Землі, але яка згодом була затягнута силою гравітації Юпітера і зникла з Сонячної системи.
4,4(70 оценок)
Ответ:
Auebandit1337
Auebandit1337
28.12.2020
1отряд(малиновые галстуки) - кинокомпания "мосфильм" творческое объединение "лепота" мы с первого дубля снимаем, второму не быть никогда 2 отряд (фисташковые галстуки) - кинокомпания "walt disney" творческое объединение "дядя яков" акуна матата и дядюшка яков акуна матата понятно без знаков. мы мультпликаторы. дружно - хей хей с акуной мататой по жизни disney 3 отряд (розовые галстуки) - кинокомпания "dream works" творческое объединение "бамбук" зри в корень - будь бамбуча 4 отряд (оранжевые галстуки) - кинокомпания "антон палыч" творческое объединение "союзмультфильм" рыжий цвет, оранжевое настроение - залог веселья и везенья. 5 отряд (синие галстуки) - кинокомпания "the lumier brothers first film" творческое объединение "кандела" синематограф - семейное дело прославило брата люмьера власть получили над светом и тенью изобретенью. 6 отряд (бордовые галстуки) - кинокомпания "одесская киностудия" творческое объединение "дети гроссмана" 32 прекрасных кадра за одним идёт другой не сидится нам на месте и не нам покой.
4,8(38 оценок)
Это интересно:
Новые ответы от MOGZ: Математика
logo
Вход Регистрация
Что ты хочешь узнать?
Спроси Mozg
Открыть лучший ответ