М
Молодежь
К
Компьютеры-и-электроника
Д
Дом-и-сад
С
Стиль-и-уход-за-собой
П
Праздники-и-традиции
Т
Транспорт
П
Путешествия
С
Семейная-жизнь
Ф
Философия-и-религия
Б
Без категории
М
Мир-работы
Х
Хобби-и-рукоделие
И
Искусство-и-развлечения
В
Взаимоотношения
З
Здоровье
К
Кулинария-и-гостеприимство
Ф
Финансы-и-бизнес
П
Питомцы-и-животные
О
Образование
О
Образование-и-коммуникации
SmartJager
SmartJager
22.03.2021 00:48 •  Математика

Этот пример в егэ - я знаю его ответ такчто пишите правильно х^2-7х-18=0 если уравнение имеет белее ождного корня ответ запишите большой из них удачи вам на егэ так видите там на первом х ближе стоит какойто угол и 2 это степень озночает х 2 степени

👇
Ответ:
RudiSlav
RudiSlav
22.03.2021
x^{2}-7x-18=0

D= b^{2} -4ac=
=(-7)^{2} -4*1*(-18)=
=49+72=121.
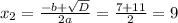
x_{1} = \frac{ -b- \sqrt{D} }{2a} = \frac{7-11}{2} =-2
x_{2} =\frac{ -b+\sqrt{D} }{2a}= \frac{7+11}{2} =9
ответ:9
4,8(35 оценок)
Ответ:
alkatrasnoob
alkatrasnoob
22.03.2021
X² - 7x - 18 = 0      D = b²-4ac = 49+72 = 121

x₁ = (-b+√D)/2a = (7+11)/2 = 9
x₂ = (-b -√D)/2a = (7-11)/2 = -2

ответ: {9}
4,5(60 оценок)
Открыть все ответы
Ответ:
crazyhack104
crazyhack104
22.03.2021
На циферблате имеется 60 делений, на которые приходится 360 градусов. Значит, когда стрелка пройдёт 1 деление, то она  переместиться на   360:60=6 градусов. 
Минутная стрелка за 15 мин пройдёт 6*15=90 градусов.
Определим, сколько делений пройдёт часовая стрелка за то время, пока мин. стрелка проходит 15 минут, зная, что часовая стрелка проходит 5 делений за 1 час, то есть за то время, за которое минутная стрелка проходит 60 делений.
5 делений   -  1 час (60 мин)
 х делений   -  15 минут              х=5*15:60=1,25 (делений)
Теперь определим, на сколько градусов повернётся часовая стрелка, пока минутная поворачивается на 90 градусов (то есть минутная проходит 15 минут):
     1 деление  - 6 градусов
 1,25 делений -  х градусов      х=1,25*6:1=7,5 (градусов)
Угол между минутной и часовой стрелками  составляет
  90-7,5=82,5 градусов=82 градуса 30 минут
4,7(38 оценок)
Ответ:
Сёма1992
Сёма1992
22.03.2021

ответ:Производная y функции – это мгновенная скорость изменения этой функции. В частности, если зависимость между пройденным путём  и временем  при прямолинейном неравномерном движении выражается уравнением , то для нахождения мгновенной скорости точки в какой-нибудь определённый момент времени нужно найти производну подставить в неё соответствующее значение

Пример. Точка движется прямолинейно по закону (s выражается в метрах, t – в секундах). Найти скорость движения через 3 секунды после начала движения.

Пошаговое объяснение:

4,8(68 оценок)
Это интересно:
Новые ответы от MOGZ: Математика
logo
Вход Регистрация
Что ты хочешь узнать?
Спроси Mozg
Открыть лучший ответ