М
Молодежь
К
Компьютеры-и-электроника
Д
Дом-и-сад
С
Стиль-и-уход-за-собой
П
Праздники-и-традиции
Т
Транспорт
П
Путешествия
С
Семейная-жизнь
Ф
Философия-и-религия
Б
Без категории
М
Мир-работы
Х
Хобби-и-рукоделие
И
Искусство-и-развлечения
В
Взаимоотношения
З
Здоровье
К
Кулинария-и-гостеприимство
Ф
Финансы-и-бизнес
П
Питомцы-и-животные
О
Образование
О
Образование-и-коммуникации
впнекккккк
впнекккккк
28.09.2021 10:39 •  Математика

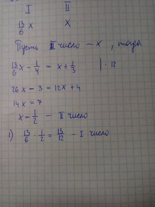
Реши с уравнений : одно число в 13/6 раз больше второго.если же из него вычесть 1/4 , в ко второму прибавить 1/3 , то число будут равными .найди эти числа.

👇
Ответ:
pyzasv
pyzasv
28.09.2021
всё на фотке
Реши с уравнений : одно число в 13/6 раз больше второго.если же из него вычесть 1/4 , в ко второму п
4,4(46 оценок)
Ответ:
mivaniuk
mivaniuk
28.09.2021
2 число - x
1 число - 13/6x
13/6x-1/4=x+1/3
26x-3=12x+4
14x=7
x=1/2 - 2 число
1 число - 1 целая 1/12
4,8(50 оценок)
Открыть все ответы
Ответ:
polli11092002
polli11092002
28.09.2021

Пошаговое объяснение:

1) Область определения: D(y) (-бескон; бескон)

2) Множество значений: E(y) (-бескон; бескон)

3) проверим, является ли функция четной или нечетной:

у (x)=x³-3x²+2

y(-x)=(-x)³-3(-x)²+2=-x³-3x²+2

Так как у (-х) не=-у (х) у (-х) не=у (х) , то функция не является ни четной ни не четная.

4) Найдем нули функции:

у=0; x³-3x²+2 =0

x1=1

x²-2x-2=0

x2=1+корень из3

x3=1-корень из3

График пересекает ось абсциссв точках: (1+корень из3;0) (1;0) (1-корень из3;0)

Ось ординат график функции пересекает в точке (0;2

5) Найдем точки экстремума и промежутки возрастаний и убывания:

y'=3x²-6x; y'=0

3x²-6x=0

3x(x-2)=0

x1=0

x2=2

Так как на промежутках (-бескон; 0) и (2; бесконеч) y'> 0, то на этих промежутках функция возрастатет.

Так как на промежуткe (0;2) y'< 0, то на этих промежутках функция убывает.

Так как при переходе через точку х=2 производная меняет свой знак с - на + то в этой точке функция имеет минимум: у (2 )=8-12+2=-2

Так как при переходе через точку х=0 производная меняет свой знак с + на - то в этой точке функция имеет максимум: у (0 )=2

6) Найдем промежутки выпуклости и точки перегида:

y"=6x-6; y"=0

6x-6=0

x=1

Tак как на промежуткe (-бесконеч; 1) y"< 0, то на этом промежутке график функции направлен выпуклостью вверх

Так как на промежутке (1; бескон) y"> 0, то на этом промежутке график функции направлен выпкулостью вниз.

Точка х=1; является точкой перегиба.

у (1)=1-3+2=0

7) асимптот график данной функции не имеет

8) Все, строй график

4,6(89 оценок)
Ответ:
akoa
akoa
28.09.2021

1) 7 : 2 = 7/2 = 3 1/2 км/ч - скорость первого пешехода;

2) 8 : 3 = 8/3 = 2 2/3 км/ч - скорость второго пешехода;

3) 3 1/2 + 2 2/3 = 3 3/6 + 2 4/6 = 5 7/6 = 6 1/6 км/ч - скорость сближения;

4) 59 - 3 1/2 = 58 2/2 - 3 1/2 = 55 1/2 км - расстояние, которое они пройдут вместе;

5) 55 1/2 : 6 1/6 = 111/2 : 37/6 = 111/2 · 6/37 = (3·3)/(1·1) = 9 ч - время в пути до встречи;

6) 9 + 1 = 10 ч - столько времени находился в пути первый пешеход;

7) 7/2 · 10 = 7 · 5 = 35 км - пройдёт первый пешеход до встречи со вторым.

ответ: 35 км.

Проверка: 7/2 · 10 + 8/3 · 9 = 7 · 5 + 8 · 3 = 35 + 24 = 59 км - расстояние между пешеходами до начала движения.

4,7(38 оценок)
Это интересно:
Новые ответы от MOGZ: Математика
logo
Вход Регистрация
Что ты хочешь узнать?
Спроси Mozg
Открыть лучший ответ