
91 > |-(-1)| > -1 > -|13| > -32
Пошаговое объяснение:
Минус исчезает, если он под модулем. Поэтому: | -(-1) | = 1.
Если минус не под модулем, он остается. Поэтому: - |13| = -13.
В порядке уменьшения - это от большего к меньшему.
Положительное число всегда больше за отрицательное.
С двух положительных чисел больше будет то, которое стоит дальше от нуля на числовой прямой.
Из двух отрицательных чисел больше будет то, которое стоит ближе к нулю на числовой прямой.
Поэтому имеем следующие результаты: 91 > |-(-1)| > -1 > -|13| > -32.
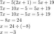
x=-3
По всем вопросам пишите в лс