М
Молодежь
К
Компьютеры-и-электроника
Д
Дом-и-сад
С
Стиль-и-уход-за-собой
П
Праздники-и-традиции
Т
Транспорт
П
Путешествия
С
Семейная-жизнь
Ф
Философия-и-религия
Б
Без категории
М
Мир-работы
Х
Хобби-и-рукоделие
И
Искусство-и-развлечения
В
Взаимоотношения
З
Здоровье
К
Кулинария-и-гостеприимство
Ф
Финансы-и-бизнес
П
Питомцы-и-животные
О
Образование
О
Образование-и-коммуникации

Будут ли в уравнениях равные корни? реши уравнения 8*(у+3)+4*(у-2)=40 6*(у+3)=30-4*(у-2)

👇
Ответ:
missapluko
missapluko
15.02.2023
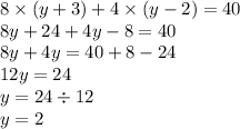
8 \times (y + 3) + 4 \times (y - 2) =40 \\ 8y + 24 + 4y - 8 =40 \\ 8y + 4y = 40 + 8 - 24 \\ 12y = 24 \\ y = 24 \div 12 \\ y = 2
ответ: у=2
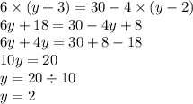
6 \times (y+3)=30-4 \times (y-2) \\ 6y + 18 = 30 - 4y + 8 \\ 6y + 4y = 30 + 8 - 18 \\ 10y = 20 \\ y = 20 \div 10 \\ y = 2
ответ: у=2
У них одинаковые корни
4,5(29 оценок)
Открыть все ответы
Ответ:
алина3821
алина3821
15.02.2023

12+3-4+5-6+7-8=9

12-3+4+5+6-7-8=9

12-3-4-5-6+7+8=9

12-3-4+5-6+7+8-9=10

12+3+4+5-6-7+8-9=10

12+3-4-5-6-7+8+9=10

Пошаговое объяснение:

12+3-4+5-6+7-8=15-4+5-6+7-8=11+5-6+7-8=16-6+7-8=10+7-8=17-8=9

12-3+4+5+6-7-8=9+4+5+6-7-8=13+5+6-7-8=18+6-7-8=24-7-8=17-8=6

12-3-4-5-6+7+8=9-4-5-6+7+8=5-5-6+7+8=0-6+7+8=1+8=9

12-3-4+5-6+7+8-9=9-4+5-6+7+8-9=5+5-6+7+8-9=10-6+7+8-9=4+7+8-9=11+8-9=19-9=10

12+3+4+5-6-7+8-9=15+4+5-6-7+8-9=19+5-6-7+8-9=24-6-7+8-9=18-7+8-9=11+8-9=19-9=10

12+3-4-5-6-7+8+9=15-4-5-6-7+8+9=11-5-6-7+8+9=6-6-7+8+9=0-7+8+9=1+9=10

4,8(83 оценок)
Ответ:
kamila267
kamila267
15.02.2023

Пошаговое объяснение:

1) Сколько километров поезд за 3 часа, пока экспресс не начал свое движение? Чтобы найти расстояние, надо скорость умножить на время.

69 * 3 = 207 (км).

2) Какое расстояние было между поездом и экспрессом в момент начала движения экспресса? Надо из расстояния между Москвой и Санкт-Петербургом вычесть расстояние, пройденное поездом.

651 - 207 = 444 (км).

3) Найдем скорость сближения поезда и экспресса. При движении навстречу друг другу скорость сближения равна сумме скоростей движущихся объектов.

69 + 153 = 222 (км/ч).

4) Через сколько часов, после начала движения экспресса встретились поезд и экспресс? Чтобы найти время, надо расстояние разделить на скорость (в нашем случае, на скорость сближения).

444 : 222 = 2 (ч).

5) Сколько километров экспресс до встречи с поездом?

153 * 2 = 306 (км).

6) На каком расстоянии от Москвы произошла встреча экспресса и поезда? Надо из расстояния между Москвой и Санкт-Петербургом вычесть расстояние, пройденное экспрессом.

651 - 306 = 345 (км).

ответ. Встреча произошла через 2 часа после начала движения экспресса в 345 км от Москвы

4,8(17 оценок)
Это интересно:
Новые ответы от MOGZ: Математика
logo
Вход Регистрация
Что ты хочешь узнать?
Спроси Mozg
Открыть лучший ответ