М
Молодежь
К
Компьютеры-и-электроника
Д
Дом-и-сад
С
Стиль-и-уход-за-собой
П
Праздники-и-традиции
Т
Транспорт
П
Путешествия
С
Семейная-жизнь
Ф
Философия-и-религия
Б
Без категории
М
Мир-работы
Х
Хобби-и-рукоделие
И
Искусство-и-развлечения
В
Взаимоотношения
З
Здоровье
К
Кулинария-и-гостеприимство
Ф
Финансы-и-бизнес
П
Питомцы-и-животные
О
Образование
О
Образование-и-коммуникации
ViNtIk4312
ViNtIk4312
15.03.2021 06:18 •  Математика

Сумма двух чисел равна 24. найдите эти числа, если 40% одного из них равны 2/3 другого

👇
Ответ:
leontievasv
leontievasv
15.03.2021
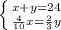
Х-1 число,у-2 число
{x+y=24
{0,4x=2/3y⇒y=0,6x
x+0,6x=24
1,6x=24
x=24:1,6
x=15
y=0,6*15
y=9
ответ 1 число 15,а второе 9
4,8(34 оценок)
Ответ:
raku13
raku13
15.03.2021
Пусть х и у неизвестные числа. Тогда\left \{ {{x + y=24} \atop { \frac{4}{10}x = \frac{2}{3} y }} \right..
Решив систему получим х = 15 и у = 9
4,5(48 оценок)
Открыть все ответы
Ответ:
vabyn
vabyn
15.03.2021
Условия:
Саша собр. - собр. Катя+5 кг
Всего - 43 кг
Саша собр. - ? кг
Катя собр. - ? кг
Решение
математический)
1) 43-5=38 (кг картофеля) - получилось бы, если Катя и Саша собрали бы  в равном количестве.
2) 38÷2=19 (кг картофеля) - собрала Катя.
3) 19+5=24 (кг картофеля) - собрал Саша.

алгебраический)
Пусть х кг картофеля собрала Катя, тогда Саша собрал х+5 кг.
Составим и решим уравнение:
х+(х+5)=43
2х+5=43
2х=43-5
2х=38
х=38÷2
х=19 (кг картофеля) - собрала Катя.
х+5=19+5=24 (кг картофеля) - собрал Саша.
ОТВЕТ: Катя собрала 19 кг картофеля, а Саша 24 кг.
4,4(66 оценок)
Ответ:
marina02032006
marina02032006
15.03.2021
Условия:
Саша собр. - собр. Катя+5 кг
Всего - 43 кг
Саша собр. - ? кг
Катя собр. - ? кг
Решение
математический)
1) 43-5=38 (кг картофеля) - получилось бы, если Катя и Саша собрали бы  в равном количестве.
2) 38÷2=19 (кг картофеля) - собрала Катя.
3) 19+5=24 (кг картофеля) - собрал Саша.

алгебраический)
Пусть х кг картофеля собрала Катя, тогда Саша собрал х+5 кг.
Составим и решим уравнение:
х+(х+5)=43
2х+5=43
2х=43-5
2х=38
х=38÷2
х=19 (кг картофеля) - собрала Катя.
х+5=19+5=24 (кг картофеля) - собрал Саша.
ОТВЕТ: Катя собрала 19 кг картофеля, а Саша 24 кг.
4,6(19 оценок)
Это интересно:
Новые ответы от MOGZ: Математика
logo
Вход Регистрация
Что ты хочешь узнать?
Спроси Mozg
Открыть лучший ответ