М
Молодежь
К
Компьютеры-и-электроника
Д
Дом-и-сад
С
Стиль-и-уход-за-собой
П
Праздники-и-традиции
Т
Транспорт
П
Путешествия
С
Семейная-жизнь
Ф
Философия-и-религия
Б
Без категории
М
Мир-работы
Х
Хобби-и-рукоделие
И
Искусство-и-развлечения
В
Взаимоотношения
З
Здоровье
К
Кулинария-и-гостеприимство
Ф
Финансы-и-бизнес
П
Питомцы-и-животные
О
Образование
О
Образование-и-коммуникации
bezzzdarnost
bezzzdarnost
05.02.2020 04:42 •  Математика

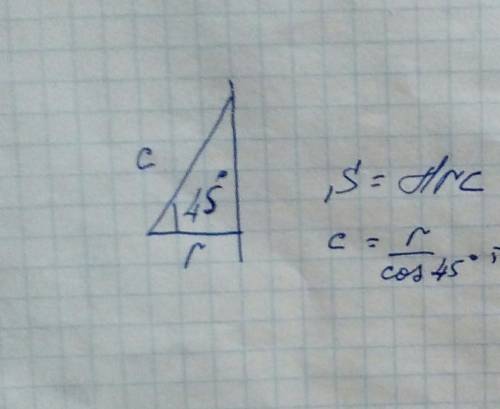
Радиус оснавание конуса равен 18 см а образующая накланена к оснаванию под углом 45с вычеслите площадь полнай поверхности конуса.

👇
Ответ:
Anastasia7wr
Anastasia7wr
05.02.2020
Площадь поверхности конуса S= число пи * радиус конуса r * длина образующей c.
s = \pi \times r \times c
Найдем длину образующей:
c=r/cos 45°

c=18/0,707=25,5

S=3,14*25,5*18=1439,7 см^2
Радиус оснавание конуса равен 18 см а образующая накланена к оснаванию под углом 45с вычеслите площа
4,7(42 оценок)
Открыть все ответы
Ответ:
Seperawar
Seperawar
05.02.2020
Великая теорема Ферма.
 
Французский математик оставил на полях книги запись, в которой указывал, что он нашел доказать, что уравнение xn + yn = zn имеет решение в целых положительных числах только в случае n = 2. Доказательство не уместилось на полях, и Ферма умер, не записав его нигде.
Парижская академия наук дважды предлагала за решение золотую медаль и 3000 франков. В 1908 году доктор Пауль Вольфскелл завещал рекордно высокую премию в 100000 немецких марок тому, кто первым докажет теорему Ферма. Предложение остается в силе до 13 сентября 2007 года Исторические перипетии и связанная с ними инфляция свели ценность премии к 1999 году до 10000 марок.В 1980 году должность хранителя премии исполнял профессор Ф. Шлихтинг из Геттингенского университета. Он сообщил, что учет поступающих писем давно прекращен. В первый год действия премии их зарегистрировано 621. Профессор Шлихтинг говорил, что на кафедре университета письма по этой проблеме складывали в пачку, и она достигла высоты в три метра.

В 1995 году мир признал, что великая теорема Ферма доказана. Счастливчиком, которому удалось нанести последний удар по проблеме оказался Эндрю Уайлс. 
4,7(86 оценок)
Ответ:
BELENKAYAEN
BELENKAYAEN
05.02.2020
Всем известно, что и животным, и растениям очень важен свет Солнца (в частности, это касается и людей). Некоторые люди просыпаются и бодрствуют только тогда, когда светит Солнце (это касается и большинства млекопитающих, земноводных и даже большинства рыб). Продолжительность солнечного дня оказывает значительное влияние на жизнедеятельность организмов на Земле. В частности, зимой и осенью, когда Солнце в Северном полушарии стоит низко над горизонтом и продолжительность светового дня мала и мало поступление солнечного тепла, природа увядает и засыпает — деревья сбрасывают листья, многие животные впадают на длительный срок в спячку (медведи, барсуки) или же сильно снижают свою активность. Вблизи полюсов даже во время лета поступает мало солнечного тепла, из-за этого растительность там скудная — причина унылого тундрового пейзажа, и мало какие животные могут проживать в таких условиях. Весной же вся природа просыпается, трава распускается, деревья выпускают листья, появляются цветы, оживает животный мир. И всё это благодаря всего одному-единственному Солнцу.

Влияние на неживую природу

Земная поверхность и нижние слои воздуха —  где образуются облака и возникают другие метеорологические явления, непосредственно получают энергию от Солнца. Солнечная энергия постепенно поглощается земной атмосферой по мере приближения её к поверхности Земли — далеко не все виды излучения, испущенного Солнцем, попадают на Землю. На Землю доходит только 40 % солнечного излучения, 60 % излучения же отражается и уходит обратно в космос. В настоящее время наблюдается тенденция к увеличению поглощаемого Землёй количества солнечного тепла по причине увеличения количества в атмосфере Земли парниковых газов (см. Парниковый эффект). Под действием солнечного света и понижения атмосферного давления умеренного или резкого, на Земле происходят такие природные явления, как туман, дождь, снег, град, смерч, ураган.
4,6(15 оценок)
Это интересно:
Новые ответы от MOGZ: Математика
logo
Вход Регистрация
Что ты хочешь узнать?
Спроси Mozg
Открыть лучший ответ