М
Молодежь
К
Компьютеры-и-электроника
Д
Дом-и-сад
С
Стиль-и-уход-за-собой
П
Праздники-и-традиции
Т
Транспорт
П
Путешествия
С
Семейная-жизнь
Ф
Философия-и-религия
Б
Без категории
М
Мир-работы
Х
Хобби-и-рукоделие
И
Искусство-и-развлечения
В
Взаимоотношения
З
Здоровье
К
Кулинария-и-гостеприимство
Ф
Финансы-и-бизнес
П
Питомцы-и-животные
О
Образование
О
Образование-и-коммуникации
faa7
faa7
24.12.2021 16:00 •  Математика

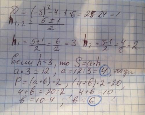
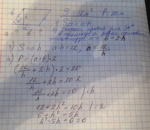
Решите периметр параллелограмма равен 20 м, а его площадь 12 м² найдите стороны параллелограмма, учитывая, что острый угол параллелограмма равен 30 градусов

👇
Ответ:
Маруся200117
Маруся200117
24.12.2021
Предлагаю свое решение через квадратное уравнение.

ответ: 6 и 4
Решите периметр параллелограмма равен 20 м, а его площадь 12 м² найдите стороны параллелограмма, учи
Решите периметр параллелограмма равен 20 м, а его площадь 12 м² найдите стороны параллелограмма, учи
Решите периметр параллелограмма равен 20 м, а его площадь 12 м² найдите стороны параллелограмма, учи
4,8(73 оценок)
Открыть все ответы
Ответ:
GIRLENKA
GIRLENKA
24.12.2021

Рассмотрим 2 случая.

1. Угол 120° при вершине, КР=24 основание. Тогда к к нему проведена высота МН, которая есть и медианой, и биссектрисой. КН=12, уг КМН=60°, tg60°=12/MH, |/3=12/MH, MH=4|/3.

S =1/2 *24*4|/3 =48|/3 (ед.2)

2. Угол при вершине 120°. КР=24 боковая сторона треугольника.

Тогда S=1/2 *24^2 *sin120°=

=1/2 *24^2*(|/3 /2)=144|/3 (ед. 2).

И в первом, и во втором случаях есть ещё и другие нахождения площади. И зависит от того, какие темы вы изучали. Если не изучали предложенные формулы, то использовать теорему Пифагора и знание того, что напротив угла 30° лежит катет в 2 раза меньше гипотенузы.

4,6(62 оценок)
Ответ:
км2002
км2002
24.12.2021
Двузначные числа, которые делятся на 7
14, 21, 28, 35, 42, 49, 56, 63, 70, 77, 84, 91, 98
Эти числа мы рассматривать не будем.

У нас по условию исходное число двузначное вида 10а+в

Признак делимости на 11:
При вычитании из суммы цифр, стоящих на нечетных местах, суммы цифр на четных местах должно получится 0 или число, кратное 11.
То есть после приписывании к числу 10а+в справа такого же числа получим число вида:
1000а + 100в + 10а + в

(а + а) - (в + в) должно делится на 11
Или 2а - 2в должно делится на 11
Или 2(а-в) должно делится на 11
Или а=в должно делится на 11

На 11 делятся
11, 22, 33, и т.п. в этом ряду нас не устраивает 77, поскольку 7777 делится на 7
А также 110, 121, 144, и так далее
Но а и в числа от 0 до 9,
значит максимальное число 2(а-в) может быть при а = 9, при в=0
То есть 2(9-0) = 18
Не делится на 11.
На 11 делится 11 и 0
но 2(а+в) - четное число и не может делится на 11
Значит
при 2(а-b) = 0,
То есть 2•0 = 0
Тогда а = в = любое число от 1 до 9

Так что ученик мог записать:
11, 22, 33, 44, 55, 66, 88, 99
В этом ряду не 77, так как 77 делится на 7.

ответ: 11, 22, 33, 44, 55, 66, 88, 99

Проверка
1111:11 = 101
2222:11 = 202
3333:11 = 303
4444:11 = 404
5555:11 = 505
6666:11 = 606
8888:8 = 808
9999:9 = 909
4,6(19 оценок)
Новые ответы от MOGZ: Математика
logo
Вход Регистрация
Что ты хочешь узнать?
Спроси Mozg
Открыть лучший ответ