М
Молодежь
К
Компьютеры-и-электроника
Д
Дом-и-сад
С
Стиль-и-уход-за-собой
П
Праздники-и-традиции
Т
Транспорт
П
Путешествия
С
Семейная-жизнь
Ф
Философия-и-религия
Б
Без категории
М
Мир-работы
Х
Хобби-и-рукоделие
И
Искусство-и-развлечения
В
Взаимоотношения
З
Здоровье
К
Кулинария-и-гостеприимство
Ф
Финансы-и-бизнес
П
Питомцы-и-животные
О
Образование
О
Образование-и-коммуникации
Мarshmallow
Мarshmallow
25.05.2023 03:21 •  Математика

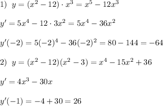
Вычислить произвудную функции х0: 1) y=(x²-12)·x³, x0= -2 2) y= (x²-12)(x²-3), x0=-1

👇
Ответ:
geralis728p0bgjl
geralis728p0bgjl
25.05.2023
1)\; \; y=(x^2-12)\cdot x^3=x^5-12x^3\\\\y'=5x^4-12\cdot 3x^2=5x^4-36x^2\\\\y'(-2)=5(-2)^4-36(-2)^2=80-144=-64\\\\2)\; \; y=(x^2-12)(x^2-3)=x^4-15x^2+36\\\\y'=4x^3-30x\\\\y'(-1)=-4+30=26
4,5(3 оценок)
Открыть все ответы
Ответ:
Nuelle
Nuelle
25.05.2023

1. (700+9) × 26= 18.434(в скобках первое действие, второе умножение)

2.

столбиком не могу написать примеры, но ответы напишу

1.698×406 = 689.388

11.625 : 93=125

3.205 × 380 = 1.217.900

31.960 : 34 = 940

3.

4.038 : 56 = 72 (ост. 6)

Проверка:

72 × 56 = 4.032

4.032 + 6 = 4.038

2.689 : 32 = 84 (ост. 1)

84 × 32 = 2.688

2.688 + 1 = 2.689

4.

а)

480 : 8 = 60 дет. /ч

б)

62 × 5 = 310 деталей

в)

48 : 16 = 3 дня

5.

Длина - 80см

Ширина - 60см

P = a + b + a + b

P = 80 + 80 + 60 + 60 = 280cм

P = 280cm

Длина - 80 см

Ширина - 60см

S = a × b

S = 80×60 = 4.800 cм²

6.

20 × 5 = 100

100 × 8 = 800

4,5(29 оценок)
Ответ:
natulsen
natulsen
25.05.2023

4.  4 7/15

5.  АВ  10 (см)

    ВС = 15 (см)

    СД = 20 (см)

    АД = 30 (см)

6.  -14

Пошаговое объяснение:

4. 1/4(8а - 12) - 1/5(10в + 5) = 2а - 3 - 2в - 1 = 2а - 2в - 4

а  = 4 1/2 = 9/2   в = 4/15

2а - 2в - 4 = 2*9/2 - 2*4/15 - 4 = 9 - 8/15 - 4 = 9 - 4 8/15 = 4 7/15

5. АВ:ВС:СД:АД = 2:3:4:6   Р = 75 см

2+3+4+6 = 15 частей всего

75 : 15 = 5 -  одна часть

АВ = 5*2 = 10 (см)

ВС = 5*3 = 15 (см)

СД = 5*4 = 20 (см)

АД = 5*6 = 30 (см)

Р = 10+15+20+30 = 75 см

АВ:ВС:СД:АД = 10:15:20:30 → сокращаем на 5 = 2:3:4:6

6. ((20 - 12*5) * (-63)) / ((-9) * 20) = (-40* (-63)) / (-180) = 2520/(-180) = -14

4,5(64 оценок)
Это интересно:
Новые ответы от MOGZ: Математика
logo
Вход Регистрация
Что ты хочешь узнать?
Спроси Mozg
Открыть лучший ответ