Вход
Регистрация
Спроси Mozg AI
М
Молодежь
К
Компьютеры-и-электроника
Д
Дом-и-сад
С
Стиль-и-уход-за-собой
П
Праздники-и-традиции
Т
Транспорт
П
Путешествия
С
Семейная-жизнь
Ф
Философия-и-религия
Б
Без категории
М
Мир-работы
Х
Хобби-и-рукоделие
И
Искусство-и-развлечения
В
Взаимоотношения
З
Здоровье
К
Кулинария-и-гостеприимство
Ф
Финансы-и-бизнес
П
Питомцы-и-животные
О
Образование
О
Образование-и-коммуникации
.....больше.....
..меньше..
nikitagregorovi
19.05.2022 17:43 •
Математика
Вычислите площадь фигуры,ограниченой линиями y=x^+1 и y=-x^+4x+1 как это делать
👇
Увидеть ответ
Ответ:
kamilyusupov123
19.05.2022
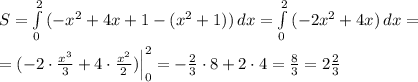
Y= -x²+4x+1 , y=x²+1
Точки пересечения: -х²+4x+1=x²+1 , 2x²-4x=0 , 2x(x-2)=0
x₁=0 , x₂=2
4,8
(89 оценок)
Открыть все ответы
Ответ:
tawawma
19.05.2022
(a+b)•c =a•c+b•c — распределительное свойство умножения относительно сложения;
(a–b)•c=a•c–b•c — распределительное свойство умножения относительно вычитания;
если а=6,2; b=3,8; с=0,2 (а+b)•с=(6,2+3,8)•0,2=10•0,2=2; а•с+b•с=6,2•0,2+3,8•0,2=1,24+0,76=2;
(а–b)•с=(6,2–3,8)•0,2=2,4•0,2=0,48; а•с–b•с=6,2•0,2–3,8•0,2=1,24–0,76=0,48;
57,48•0,9093+42,52•0,9093=(57,48+42,52)•0,9093=100•0,9093=90,93;
6,395•835,67+6,395•164,33=(835,67+164,33)•6,395=1000•6,395=6395;
104,76•378,91–94,76•378,91=(104,76–94,76)•378,91=10•378,91=3789,1;
0,78•496,6–396,6•0,78=(496,6–396,6)•0,78=100•0,78=78.
4,4
(88 оценок)
Ответ:
MariHarutyunyan
19.05.2022
4 * 2,9 *m __ 4 * 9 *n __ 4,2 *5*m
''''''''''''''''''''''' ''''''''''''''''''''''''' ''''''''''''''''''''' + 4,2*0,5*n =
9 * 10 9 * 4 7
5,8 *m _ n _ 3*m + 2,1*n = 58 *m __ 3m +1,1n =
= ''''''''''''' ''''''''''''''
45 10*45
= 29m _ 3m +1,1n = m* (-2-196/225) +1,1n =
''''''''''''
225
= - 2 196/225 m +1,1n
4,5
(65 оценок)
Это интересно:
С
Стиль-и-уход-за-собой
13.10.2020
Как избавиться от ушных пробок: причины, симптомы и лечение...
К
Компьютеры-и-электроника
07.04.2020
Установка HD игр с кэшем на Android: подробная инструкция...
С
Стиль-и-уход-за-собой
03.10.2020
10 простых правил ухода за кожей лица в домашних условиях...
О
Образование-и-коммуникации
19.07.2021
Как преобразовать время из 12-часового в 24-часовой формат...
З
Здоровье
06.03.2021
Секрет понижения веса: как потерять килограмм в неделю...
И
Искусство-и-развлечения
24.07.2022
Как найти вдохновение для написания песен?...
К
Компьютеры-и-электроника
06.07.2021
Как спрятаться от школьных блокировок и зайти на YouTube...
К
Компьютеры-и-электроника
11.10.2020
Как снять летсплей или как делать профессиональные видеоинструкции для YouTube?...
Д
Дом-и-сад
13.12.2020
Простые способы удаления жевательной резинки с бетона...
Ф
Финансы-и-бизнес
14.01.2023
Рассчитываем налог на собственность: полезные советы и всё, что нужно знать...
Новые ответы от MOGZ: Математика
rrrrrrrrrrrrrrrrt
22.12.2022
решить , я в этом вообще не понимаю ( высшая математика ) ...
digo2
29.11.2022
Відрізок ВД- бісектриса трикутника ABC. Знайдіть відрізки АД і ДС, ЯКщо AB = 8 см , ВС=14 см, АС=11см. ...
LarisaSergeeva
15.03.2021
Выполни вычисления по алгоритму. 70 · 4 = 7 дес. · 4 = 28 дес. = 280 450 : 9 = 45 дес. : 9 = 5 дес. = 50 60 · 8 =дес. ·=дес. = 720 : 9 =дес. :=дес. = ...
TinaAkh
01.11.2022
Всхожесть семян некоторого растения составляет 85 %. Найдите вероятность того, что: а) из семи посеянных семян взойдут ровно пять семян; б) из восьми посеянных семян не взойдет...
rot3
24.12.2022
в билем лэнде Зарание огромное я непревеледвивая но можно правильно...
DIANA89320
21.04.2021
У дівчинки було 60 грн. вона витратила 3/4 цих грошей. скільки грошей залишилосьу дівчинки?...
buldog228
21.04.2021
Решите 1,2 ( 3х + 5у ) - 2у При 0,9х + у = - 2,5...
рома1344
05.01.2023
3/-5 и -4/-7 сравнение дробей...
artemlis1302200
06.02.2021
тему не поняла, мне нужно 3,4,5,6...
Sultikutan
31.10.2021
Дано:A...D1 -куб с ребром,равным√72см.Найти: расстояние между прямыми AA1 и BD1....
MOGZ ответил
Проблемы воспитания в комедии недоросль...
Найти: д.о-деепричастный оборот и п.о-причастный оборот. вспомним с нами отступавших,...
Сколько в 15 неделях суток? 50 суток это месяцев? 100 суток это месяцев?...
Сжатое изложение по тексту паустовского l 12...
Соль-диез минор ( мелодический) какие там ноты, не могу понять. я потом напишу...
Верно ли что ген отвечает за развитие одного признака...
Do you remember tippi s story? do you really think her story is like mowgli...
ответить на вопросы если можно с доказательством из книги барышня-крестьянка...
Информационное сообщение имеет объёмом 3 кбайт. сколько в нём символов, есле...
Архаизм к слову мудрость.(архаизм -- слово, ушедшее из языка по причине вытеснения...
Полный доступ к MOGZ
Живи умнее Безлимитный доступ к MOGZ
Оформи подписку
О НАС
О нас
Блог
Условия пользования
Авторское право
Политика конфиденциальности
Предпочтения cookie-файлов
ПОМОЩЬ
Зарегистрируйся
Центр помощи
Центр безопасности
App
Вход
Регистрация
Что ты хочешь узнать?
Спроси Mozg
Открыть лучший ответ
Точки пересечения: -х²+4x+1=x²+1 , 2x²-4x=0 , 2x(x-2)=0
x₁=0 , x₂=2