М
Молодежь
К
Компьютеры-и-электроника
Д
Дом-и-сад
С
Стиль-и-уход-за-собой
П
Праздники-и-традиции
Т
Транспорт
П
Путешествия
С
Семейная-жизнь
Ф
Философия-и-религия
Б
Без категории
М
Мир-работы
Х
Хобби-и-рукоделие
И
Искусство-и-развлечения
В
Взаимоотношения
З
Здоровье
К
Кулинария-и-гостеприимство
Ф
Финансы-и-бизнес
П
Питомцы-и-животные
О
Образование
О
Образование-и-коммуникации
25643791
25643791
20.09.2021 10:36 •  Математика

1) 3/7 умножить на (-2) 2) 4/5 умножить на (-5/8)

👇
Ответ:
nika270106
nika270106
20.09.2021
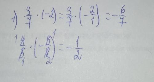
1)=-6/7
2)=4/5*(-5/8)=-1/2
4,6(16 оценок)
Ответ:
dmitrykim2000
dmitrykim2000
20.09.2021
ответ на листике
1) 3/7 умножить на (-2) 2) 4/5 умножить на (-5/8)
4,5(97 оценок)
Открыть все ответы
Ответ:

х кг яблок - во второй день

(х + 5,6) кг - в первый день

(х - 3,2) кг - в третий день

Всего за три дня - 765,6 кг

Уравнение: х + 5,6 + х + х - 3,2 = 765,6

                     3х + 2,4 = 765,6

                     3х = 765,6 - 2,4

                     3х = 763,2

                     х = 763,2 : 3

                     х = 254,4 (кг) - во второй день

                     254,4 + 5,6 = 260 (кг) - в первый день

                     254,4 - 3,2 = 251,2 (кг) - в третий день

Вiдповiдь: 260 кг, 254,4 кг и 251,2 кг.

4,4(97 оценок)
Ответ:
LitRoboBoytle
LitRoboBoytle
20.09.2021

а) не можно построить треугольник. поскольку 7+8 =15 < 16. В треугольнике сумма двух его сторон должна быть больше третьей стороны.

б) можно построить треугольник. В треугольнике сумма двух его сторон должна быть больше третьей стороны

8 + 7 = 15 > 9

8 + 9 =17 >7

7+9 = 16 > 8

Пошаговое объяснение:

Как построить треугольник?

1. Провести прямую.

2. На прямой от выбранной точки А отложить отрезок, равный 7, и отметить другой конец отрезка В.

3. Провести окружность с центром А и радиусом, равным отрезку  8 см.

4. Провести окружность с центром  В и радиусом, равным отрезку  9 см .

5. Точка пересечения окружностей является третьей вершиной искомого треугольника.

4,7(25 оценок)
Это интересно:
Новые ответы от MOGZ: Математика
logo
Вход Регистрация
Что ты хочешь узнать?
Спроси Mozg
Открыть лучший ответ