М
Молодежь
К
Компьютеры-и-электроника
Д
Дом-и-сад
С
Стиль-и-уход-за-собой
П
Праздники-и-традиции
Т
Транспорт
П
Путешествия
С
Семейная-жизнь
Ф
Философия-и-религия
Б
Без категории
М
Мир-работы
Х
Хобби-и-рукоделие
И
Искусство-и-развлечения
В
Взаимоотношения
З
Здоровье
К
Кулинария-и-гостеприимство
Ф
Финансы-и-бизнес
П
Питомцы-и-животные
О
Образование
О
Образование-и-коммуникации
зака16
зака16
15.07.2020 06:04 •  Математика

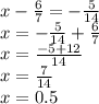
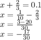
25 ! решите уравнения с решением и правильно 1) 8+x=0,1 2) x+2/3=0,1 3) 5/16-x=5/2 4) -7/9-x=-13/18 5) x-6/7=-5/14 6) x-1целую5/7=-4целых13/14

👇
Ответ:
devoshka2006
devoshka2006
15.07.2020
1)8+х=0.1
х=0.1-8
х=-7.9
x + \frac{2}{3} = 0.1 \\ x = \frac{1}{10} - \frac{2}{3} \\ x = \frac{3 - 20}{30} \\ x = - \frac{17}{30}
\frac{5}{16} - x = \frac{5}{2} \\ x = \frac{5}{16} - \frac{5}{2} \\ x = \frac{5 - 40}{16} \\ x = \frac{ - 35}{16}
- \frac{7}{9} - x = - \frac{13}{18} \\ x = - \frac{7}{9} + \frac{13}{18} \\ x = \frac{ - 14 + 13}{18} \\ x = - \frac{1}{18}
x - \frac{6}{7} = - \frac{5}{14} \\ x = - \frac{5}{14} + \frac{6}{7} \\ x = \frac{ - 5 + 12}{14} \\ x = \frac{7}{14} \\ x = 0.5

x - 1 \frac{5}{7} = - 4 \frac{13}{14} \\ x = - \frac{69}{14} + \frac{12}{7} \\ x = \frac{ - 69 + 24}{14} \\ x = \frac{ - 45}{14}
4,8(76 оценок)
Открыть все ответы
Ответ:
Toktorovaskar
Toktorovaskar
15.07.2020
Введём обозначения
занимаются баскетболом  Б - 16
занимаются хоккеем   Х - 17
занимаются футболом  Ф - 18
занимаются баскетболом и хоккеем  Б + Х - 4
занимаются баскетболом и футболом Б + Ф - 3
занимаются футболом и хоккеем Ф + Х - 5
занимаются баскетболом, футболом и хоккеем Б+Ф+Х
всего в классе 38 из них 3 ничем не занимаются 38-3=35
35=Б+Ф+Х-(Б+Х)-(Б+Ф)-(Ф+х)-(Б+Ф+Х)
35=16+17+18-4-3-5-(Б+Ф+Х)
35=39-(Б+Ф+Х)  Б+Ф+Х=4 баскетболом+хоккеем+футболом занимаются 4
занимаются только баскетболом  16-4-3-4=6
занимаются только футболом  18-3-5-4=6
занимаются только хоккеем 17-4-5-4=4
4,6(56 оценок)
Ответ:
misha12e
misha12e
15.07.2020
СанетSelect і і выдатнаСярэдняя: 4.3 (586 галасоў)(Ахвярую А. Пагодзіну)Un sonnet sans defaut
Vant seul un long poeme
Boileau*Паміж пяскоў Егіпецкай зямлі,
Над хвалямі сінеючага Ніла,
Ўжо колькі тысяч год стаіць магіла:
Ў гаршку насення жменю там знайшлі.Хоць зернейкі засохшымі былі,
Ўсё ж такі жыццёвая іх сіла
Збудзілася і буйна ўскаласіла
Парой вясновай збожжа на раллі.Вось сімвал твой, забыты краю родны!
Зварушаны нарэшце дух народны,
Я верую, бясплодна не засьне,
А ўперад рынецца, маўляў, крыніца,
Каторая магутна, гучна мкне,
Здалеўшы з глебы на прастор прабіцца.Пакінуць водгук
4,4(95 оценок)
Это интересно:
Новые ответы от MOGZ: Математика
logo
Вход Регистрация
Что ты хочешь узнать?
Спроси Mozg
Открыть лучший ответ