М
Молодежь
К
Компьютеры-и-электроника
Д
Дом-и-сад
С
Стиль-и-уход-за-собой
П
Праздники-и-традиции
Т
Транспорт
П
Путешествия
С
Семейная-жизнь
Ф
Философия-и-религия
Б
Без категории
М
Мир-работы
Х
Хобби-и-рукоделие
И
Искусство-и-развлечения
В
Взаимоотношения
З
Здоровье
К
Кулинария-и-гостеприимство
Ф
Финансы-и-бизнес
П
Питомцы-и-животные
О
Образование
О
Образование-и-коммуникации
NezNeika
NezNeika
25.01.2020 18:09 •  Математика

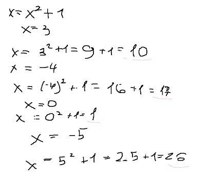
Найдите значение функций: f(x)=x^2+1 при x=3; -4; 0; -5. ! умоляю.

👇
Ответ:
Вот, держи решение. Если что-то не понятно, спрашивай.
Найдите значение функций: f(x)=x^2+1 при x=3; -4; 0; -5. ! умоляю.
4,8(55 оценок)
Открыть все ответы
Ответ:
bratatatnigep014kz
bratatatnigep014kz
25.01.2020
(4+2х)(12-3х)>0
по правилам умножения можем записать так
4+2х>0    и           12-3х>0
2x>-4                     12>3x
x>-2                       4>x
x>-2                       x<4
х є (-2; беск)         х є (4; - беск)
Решением данного неравенства будет являться пересечение   двух найденных промежутков, то есть  получим что х є (-2;4) 
ОБЯЗАТЕЛЬНО необходимо на ось Ох нанести точку -2 и 4 и штриховкой от -2 до + бесконечности показать решения первого неравенства .а потом штриховкой от 4 до - бесконечности показать решения второго неравенства. 
Отввет: (-2;4)
4,6(71 оценок)
Ответ:
roxolanavarLana
roxolanavarLana
25.01.2020
1) Взять по одной монете из 10 мешков (11 мешок не нужен)

2) Действие - раз. На чаши весов положить по 5 монет. Если левая и правая чаши будут уравновешены, следовательно 10 монет из 10 мешков имеют одинаковый вес. Они все настоящие. Тогда в 11 мешке монеты поддельные.

В этом случае головоломка решается за одно взвешивание. ЭТО МИНИМУМ.

3) Если равновесие нарушено, следовательно на одной из чаши весов одна монета фальшивая. Чаша с четырьмя настоящими и одной фальшивой монетой будет легче. Чаша с пятью настоящими монетами перетянет чашу с фальшивкой.

4) Действие - два. Отложить настоящие монеты из перевесевшей чаши. Они далее не нужны для взвешивания. Для дальнейшего взвешивания берем только те монеты, среди которой есть фальшивка. Всего монет 5. Откладываем одну монету в сторону. Остается 4 монеты. На чаши весов кладем по 2 монеты. Если чаши уравновешены, следовательно все монеты настоящие, а отложенная одна монета и есть фальшивка. Если чаши весов не уравновешены, следовательно на одной из чаш весов фальшивка.

5) Действие - три. Настоящие 2 монеты из перевесевшей чаши откладываем в сторону. Они далее не нужны. Осталось выяснить, какая из двух монет фальшивка. На каждую чашу весов кладется по одной монете. Более легкая и есть фальшивка. Итого 3 действия. ЭТО МАКСИМУМ.

4,4(8 оценок)
Новые ответы от MOGZ: Математика
logo
Вход Регистрация
Что ты хочешь узнать?
Спроси Mozg
Открыть лучший ответ