М
Молодежь
К
Компьютеры-и-электроника
Д
Дом-и-сад
С
Стиль-и-уход-за-собой
П
Праздники-и-традиции
Т
Транспорт
П
Путешествия
С
Семейная-жизнь
Ф
Философия-и-религия
Б
Без категории
М
Мир-работы
Х
Хобби-и-рукоделие
И
Искусство-и-развлечения
В
Взаимоотношения
З
Здоровье
К
Кулинария-и-гостеприимство
Ф
Финансы-и-бизнес
П
Питомцы-и-животные
О
Образование
О
Образование-и-коммуникации
gilkin01
gilkin01
24.05.2023 17:40 •  Математика

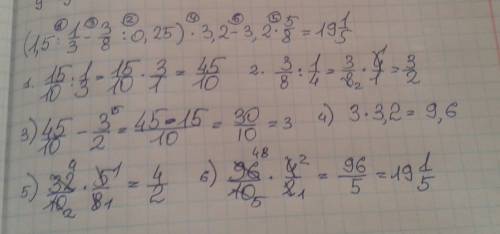
100 сделайте (1,5: 1\3-3\8: 0,25)*3,2-3,2*5\8

👇
Ответ:
Kintavr12345
Kintavr12345
24.05.2023
Вот все на фотографии.
100 сделайте (1,5: 1\3-3\8: 0,25)*3,2-3,2*5\8
4,5(71 оценок)
Открыть все ответы
Ответ:
0Assistant0
0Assistant0
24.05.2023
Расстояние между поселками а и б -40км. из поселка а выехал легковой автомобиль со скоростью 80км/ч, а  из поселка б -одновременно грузовой со скоростью 60км/ч. через сколько часов легковая машина догонит грузовик?   40: (80-60)=2ч  -из поселка а выехал легковой автомобиль со скоростью 80км/ч, а  из поселка б -одновременно грузовой со скоростью 60км/ч. через 2 часа легковая машина догонит грузовик. какое  расстояние между поселками а и б (80-60)*2=40км -расстояние между поселками а и б -40км. из поселка а выехал легковой автомобиль , а  из поселка б -одновременно грузовой со скоростью 60км/ч. через 2 часа легковая машина догоннала грузовик. найди скорость лекговой машины. -  расстояние между поселками а и б -40км. из послка а выехал легковой автомобиль со скоростью 80км/ч, а  из поселка б -одновременно грузовой . через 2    часа легковая машина догонит грузовик. найди скорость грузового  проще через х   за х бери то, что нужно найти. 1 (твоя)  80х = 40 + 60х       80х - 60х = 40       20х = 40         х = 40: 20   х=22 (х-расстояние) 80*2=х+60*2   160=х+120   х=160-120 х=403 (х-скорость легковой)    80*2 = 40 + 2*х   160=40+2х   2х=160-40   2х=120 х=120: 2 х=60 4 (х-скорость грузовой)  х*2 = 40 + 60*2   2х=40+120   2х=160   х=160: 2   х=80
4,4(41 оценок)
Ответ:
svetlana196420
svetlana196420
24.05.2023

вынужденная перестройка организма человека при смене климатографических условий. факторы, действующие на человека при смене климатографических условий: смена часовых поясов (времени), смена климата, смена продуктов питания.

смена часовых поясов. необходимость изменения режима дня.

смена климата. воздействие на человека температуры и влажности воздуха, атмосферного давления, солнечной активности и т.п.

смена продуктов питания. рекомендации по употреблению пищи при смене условий.

общие принципы адаптации при смене климатографических условий. основные правила адаптации организма человека к местному времени и смене климата целесообразно рассмотреть используя схемы 15 и 16 в учебнике.

особенности адаптации (акклиматизации) в горной местности. воздействие высоты и солнечных лучей на

организм человека. 

4,5(11 оценок)
Новые ответы от MOGZ: Математика
logo
Вход Регистрация
Что ты хочешь узнать?
Спроси Mozg
Открыть лучший ответ