М
Молодежь
К
Компьютеры-и-электроника
Д
Дом-и-сад
С
Стиль-и-уход-за-собой
П
Праздники-и-традиции
Т
Транспорт
П
Путешествия
С
Семейная-жизнь
Ф
Философия-и-религия
Б
Без категории
М
Мир-работы
Х
Хобби-и-рукоделие
И
Искусство-и-развлечения
В
Взаимоотношения
З
Здоровье
К
Кулинария-и-гостеприимство
Ф
Финансы-и-бизнес
П
Питомцы-и-животные
О
Образование
О
Образование-и-коммуникации
dfrt2
dfrt2
29.08.2021 18:02 •  Математика

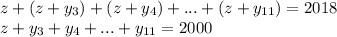
На прямой расположены 11 точек сумма расстояние от первой точки слева до стальных 10 равна 2018 а сумма расстояние от второй точки слева до остальных 10 равна 2000 чему равно расстояние между первый второй точками

👇
Ответ:
Vymnuk228
Vymnuk228
29.08.2021
Пусть х₂, х₃, х₄, ..., х₁₁ - расстояния от 1-ой точки до 2, 3, 4, ..., 11.
Пусть y₁, y₃, y₄, ..., y₁₁ - расстояния от 2-ой точки до 1, 3, 4, ..., 11.
Заметим:
х₂=y₁=z - искомое расстояние между 1 и 2 точками
х₃=z+y₃
х₄=z+y₄
...
х₁₁=z+y₁₁
Распишем заданные суммы:
x_2+x_3+x_4+...+x_{11}=2018 \\\
 y_1+y_3+y_4+...+y_{11}=2000
Преобразуем:
z+(z+y_3)+(z+y_4)+...+(z+y_{11})=2018 \\\
 z+y_3+y_4+...+y_{11}=2000
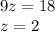
Из первого выражения вычтем второе:
9z=18 \\\ z=2
ответ: 2
4,4(57 оценок)
Открыть все ответы
Ответ:
NikMishakov
NikMishakov
29.08.2021

гарри поттер — мальчик со шрамом на лбу, воспитывающийся в семье дяди и тети. родители мальчика погибли. несладкая жизнь у сироты: двоюродный брат постоянно обижает его, взрослые ежедневно наказывают даже за крохотные проступки. даже одежду приёмышу приходится донашивать за сводным братом. сам гарри худенький, поэтому кофты и штаны толстенного дадли сильно свисают.

однажды гарри приходит загадочное письмо. но, не успел гарри даже взглянуть на него, дядя отнимает его. письма всё приходят и приходят, что приводит дядю в бешенство. в итоге мужчина увозит всю на остров, где нет почты. там находит великан хагрид, который и рассказывает мальчику, что он волшебник. великан забирает его с собой. следующий день буквально шокирует гарри. оказывается, прямо под носами людей существует мир магов и волшебства. гарри узнаёт, что в банке хранятся сбережения, которые ему оставили родители. мальчик вместе с новым знакомым идут в банк, берут оттуда деньги и таинственный сверток.

затем мальчик заводит знакомство с роном уизли и гермионой грейнджер. дети на один факультет. в школе с первых минут пребывания у них появляются враги — драко малфой, и его приспешники крэбб и гойл. их поддерживает северус снегг. он постоянно придирается к гарри, рону и гермионе, снимает из-за их проступков очки со всего факультета. гарри берут в команду по квиддичу, он получает в подарок прекрасную метлу.

однажды, неразлучная троица случайно попадает в помещение, где на люке сидит трехголовый пес. естественно, детям не терпится узнать, что охраняет животное. хагрид проговаривается, что тайна известна лишь руководителю школы — и его другу николасу фламелю.

при проведении квиддича кто-то пытается сбросить гарри с метлы. друзья убеждены, что это северус. затем они узнают, что фламель создал филосовский камень — магический предмет, который служит для приготовления эликсира жизни.

источник: краткое содержание книги гарри поттер и философский камень роулинг за 2 минуты пересказ сюжета

4,6(83 оценок)
Ответ:
duk73p07117
duk73p07117
29.08.2021
Известно, что при округлении числа до указанного разряда, необходимо соблюдать правило:При округлении числа до некоторого разряда все цифры последующих разрядов заменяются нулями.Цифра разряда, до которого выполняется округление, остаётся без изменения, если в округляемом числе за ней следует одна из цифр:0,1,2,3,4, а если за ней следует цифра 5,6,7,8,9, то к цифре разряда, до которой округляли, прибавляется 1.Анализируя слова, сказанные мальчиками, можно сделать вывод, что наибольшая сумма денег, которая при округлении до сотен будет равной 200 руб. , есть сумма 249 руб., т.к. используя данное правило наибольшее число получится, если в разряде сотен останется такая же цифра, в разряде десятков будет максимально возможная цифра для округления с недостатком, т.е. 4 и в разряде единиц цифра 9. Наименьшая сумма денег, которая при округлении до сотен будет равной 200 руб., есть сумма 150 руб., т.к. используя данное правилонаименьшее число получится, если в разряде сотен будет цифра на 1 меньшая, чем данная цифра, в разряде десятков будет наименьшая возможная цифра для округления с избытком, т.е. 5 и в разряде единиц цифра 0. Значит, наибольшая возможная сумма денег, на которую могут отличаться карманные деньги мальчиков равна  99 руб.
4,4(5 оценок)
Это интересно:
Новые ответы от MOGZ: Математика
logo
Вход Регистрация
Что ты хочешь узнать?
Спроси Mozg
Открыть лучший ответ