М
Молодежь
К
Компьютеры-и-электроника
Д
Дом-и-сад
С
Стиль-и-уход-за-собой
П
Праздники-и-традиции
Т
Транспорт
П
Путешествия
С
Семейная-жизнь
Ф
Философия-и-религия
Б
Без категории
М
Мир-работы
Х
Хобби-и-рукоделие
И
Искусство-и-развлечения
В
Взаимоотношения
З
Здоровье
К
Кулинария-и-гостеприимство
Ф
Финансы-и-бизнес
П
Питомцы-и-животные
О
Образование
О
Образование-и-коммуникации
Ayshalike
Ayshalike
19.05.2023 14:35 •  Математика

Даны числа х , у и а такие . при каком значении а х•у будет наименьшим?

👇
Ответ:
лосимус
лосимус
19.05.2023

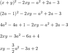
Представим левую часть второго уравнения из системы в виде

(x+y)^2-2xy=a^2+2a-3\\ \\ (2a-1)^2-2xy=a^2+2a-3\\ \\ 4a^2-4a+1-2xy=a^2+2a-3\\ \\ 2xy=3a^2-6a+4\\ \\ xy=\dfrac{3}{2}a^2-3a+2

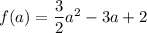
Произведение xy будет наименьшим в точке вершины параболы f(a)=\dfrac{3}{2}a^2-3a+2, поскольку ветви направлены вверх.

a=-\dfrac{-3}{2\cdot \dfrac{3}{2}}=1

ответ: при а = 1.

4,6(72 оценок)
Открыть все ответы
Ответ:
Лерой04
Лерой04
19.05.2023
960:(8*2) = 960:16=60
960:8:2= 960:8=120:2=60
Подойдет вариант: 960:8:2
Т.к если мы выберем 1 вариант, то будет неправильно, мы разделим на 8, а потом умножим на 2 получится = 240.
Если мы выберем 2 вариант, то будет тоже неправильно, мы разделим на 8, а потом вычтем 2 получится = 118.
Если мы 960 умножим на 8, а потом разделим на 2 получится = 3840.
Эти варианты не совпадают. Совпадает только 4 вариант

Если мы 960 разделим на 8 и разделим на 2 получим = 60
Сначала надо узнать первое выражение, а потом сравнивать другие варианты.
4,5(97 оценок)
Ответ:
ашме
ашме
19.05.2023
А) -8m * 12 = (-8 * 12)m = -96m             коэффициент -96
б) -3,2а * (-4) = (-3,2 * (-4))а = 12,8а     коэффициент 12,8
в) 3/7а * (-7/6b) = (3/7 * (-7/6)ab = -3/6ab = -1/2ab  коэф. -1/2
г) -6,5bc * (-1) = (-6,5 * (-1))bc = 6,5bc   коэффициент 6,5
д) -2а * (-3b) = (-2 * (-3))ab = 6ab           коэффициент 6
е) -0,22х * (-3у) = (-0,22 * (-3))ху = 0,66ху    коэффиц. 0,66
ж) -1 2/5 * (-а) * (-5/7) = (-1 2/5 * (-5/7)) * (-а) = (-7/5 * (-5/7)) * (-а) = 1 * (-а) = -1a   коэффициент -1  
з) -2а * (-3b) * 1/6 = (-2 * (-3) * 1/6))b = 1b  коэффициент 1  
4,5(99 оценок)
Это интересно:
Новые ответы от MOGZ: Математика
logo
Вход Регистрация
Что ты хочешь узнать?
Спроси Mozg
Открыть лучший ответ