М
Молодежь
К
Компьютеры-и-электроника
Д
Дом-и-сад
С
Стиль-и-уход-за-собой
П
Праздники-и-традиции
Т
Транспорт
П
Путешествия
С
Семейная-жизнь
Ф
Философия-и-религия
Б
Без категории
М
Мир-работы
Х
Хобби-и-рукоделие
И
Искусство-и-развлечения
В
Взаимоотношения
З
Здоровье
К
Кулинария-и-гостеприимство
Ф
Финансы-и-бизнес
П
Питомцы-и-животные
О
Образование
О
Образование-и-коммуникации
arsenumerbekov
arsenumerbekov
24.11.2022 21:16 •  Математика

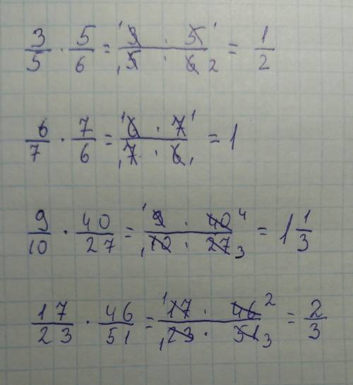
А. 3/5*5/6,б.6/7*7/6 в. 9/10*40/27, г. 17/23*46/51 как решить скиньте картинку

👇
Ответ:
olga695
olga695
24.11.2022
А. 3/5*5/6,б.6/7*7/6 в. 9/10*40/27, г. 17/23*46/51 как решить скиньте картинку
4,7(10 оценок)
Открыть все ответы
Ответ:
andrewbukharin2
andrewbukharin2
24.11.2022

Відповідь:

1) 10•10 = 100 плиток образовали бы квадрат, если бы плиток хватило. Поскольку их не хватило, то плиток меньше 100.

2) В неполном ряду плиток при раскладывании по 8 не может быть 8 (это уже полный ряд), а в неполном ряду плиток при раскладывании по 9 не может быть 0 плиток (это значит, что нет неполного ряда), а это означает, что в неполном ряду плиток при раскладывании по 8 плиток может быть только 7, а в неполном ряду плиток при раскладывании по 9 может быть только 1 плитка. Разница как раз составляет 6 плиток, как указано в условии.

3) Представим себе, что есть n полных рядов плиток при раскладывании их по 8, и есть 7 плиток в неполном ряду. Можно перекладывать из неполного ряда по одной плитке к каждому ряду, так, что в каждом ряду образуется по 9 плиток. Так можно делать до тех пор, пока в неполном ряду не останется 1 плитка:

Получаем уравнение

8n + 7 = 9n + 1

9n - 8n = 7 - 1

n = 6 рядов по 8 или по 9 плиток.

4) 8n+7 = 8•6+7=47+7=55 плиток.

Или

9n+1 = 9•6+1=54+1=55 плиток.

ответ: 55 плиток.

Покрокове пояснення:

4,4(51 оценок)
Ответ:
кирюха6677
кирюха6677
24.11.2022

ответ:

пошаговое объяснение:

1. пусть неизвестное число - х, тогда:

2х-10=3

2х=3+10

2х=13

х=13: 2

х=6,5

2.пусть неизвестное число - х, тогда:

(x+5)*1/3=4  

x+5=12

x=7

3..пусть задуманное число- х

4х-25=35

4х=35+25

4х=60

х=60: 4

х=15

4.пусть задуманное число-х

х: 2+1.6=4

х: 2=4-1.6

х: 2= 2.4

х=2.4*2

х=4.8

5. пусть задуманное число-х

х + 18,6 = 40,1

х = 40,1 - 18,6

х= 21,5

6. пусть задуманное число-х

5.3-х=2.7

х=2.6

или

5.3-2.7=2.6

7. пусть задуманное число-х

х*2.5=16

х=16/2.5

х=6.4

8. пусть задуманное число-х

х/3.2=10

х=10*3.2

х=32

9.да, это корень уравнения

10. решите уравнение

72 - 3х = 36

-3х=36-72

-3х=-36

3х=36

х=36/3

х=12

11.решите уравнение:

0,3х = 3

х=3/0.3

х=10

12. решить уравнение:

1 + 6х = 10

6х=10-1

6х=9

х=9/6

х=3/2=1.5

13.решите уравнение:

3х + х + 2 = 14

4х=14-2

4х=12

х=12/4

х=3

14.решите уравнение:

3х + х + 2 = 12

4х=12-2

4х=10

х=10/4

х=5/2=2.5

15. решите уравнение:

2х + 4 = 2х + 6

2х-2х=6-4

0=2

следовательно корней нет

запись вида 5х - 3 = 0 называется уравнением

10(х + 2) = 43

10х+20=43

10х=23

х=2.3   корень

(6 + х) : 7 = 35

6+х=35*7

6+х=245

х=245-6

х=239

следовательно 5 не является корнем

в семье прокофьевых шестеро детей: две девочки и четыре мальчика:

дочерей у прокофьевых не меньше трех   -   не верно

у каждого мальчика в семье прокофьевых есть трое братьев - верно

большинство детей в семье прокофьевых - девочки   -не верно

у каждой девочки в семье прокофьевых сестер в четыре раза меньше, чем братьев   -верно

вычислите:

(15 - 5,5)(0,5 + 6,5)=9.5*7=66.5

4,7(23 оценок)
Это интересно:
Новые ответы от MOGZ: Математика
logo
Вход Регистрация
Что ты хочешь узнать?
Спроси Mozg
Открыть лучший ответ