М
Молодежь
К
Компьютеры-и-электроника
Д
Дом-и-сад
С
Стиль-и-уход-за-собой
П
Праздники-и-традиции
Т
Транспорт
П
Путешествия
С
Семейная-жизнь
Ф
Философия-и-религия
Б
Без категории
М
Мир-работы
Х
Хобби-и-рукоделие
И
Искусство-и-развлечения
В
Взаимоотношения
З
Здоровье
К
Кулинария-и-гостеприимство
Ф
Финансы-и-бизнес
П
Питомцы-и-животные
О
Образование
О
Образование-и-коммуникации
301222
301222
02.03.2020 14:46 •  Математика

Найти функцию, которая является обратной функции y=3x + 2

👇
Ответ:
vitalikpchel
vitalikpchel
02.03.2020
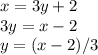
y=3x+2
Поменяем x и y местами

x=3y+2\\ 3y=x-2\\ y=(x-2)/3
4,4(91 оценок)
Открыть все ответы
Ответ:
Сразу можно заметить сходства и различия. Сходства: красно-желтая раскраска, колосья, красная звезда, надпись "Пролетарии всех стран, соединяйтесь!", восходящее солнце, серп и молот, красная лента. Есть также и различия: на гербе СССР серп и молот изображены на глобусе, а на гербе РСФСР - на немецком барочном "картуше", также различаются положения элементов на каждом гербе.Исторически эти гербы тоже отличаются. Герб РСФСР был утвержден 10 июля 1918 года, а герб СССР - 6 июля 1923 года. Также отличаются продолжительность использования гербов (герб РСФСР - 7 лет, герб СССР - 13 лет).
4,4(61 оценок)
Ответ:
scaier
scaier
02.03.2020
Сразу можно заметить сходства и различия. Сходства: красно-желтая раскраска, колосья, красная звезда, надпись "Пролетарии всех стран, соединяйтесь!", восходящее солнце, серп и молот, красная лента. Есть также и различия: на гербе СССР серп и молот изображены на глобусе, а на гербе РСФСР - на немецком барочном "картуше", также различаются положения элементов на каждом гербе.Исторически эти гербы тоже отличаются. Герб РСФСР был утвержден 10 июля 1918 года, а герб СССР - 6 июля 1923 года. Также отличаются продолжительность использования гербов (герб РСФСР - 7 лет, герб СССР - 13 лет).
4,7(35 оценок)
Это интересно:
Новые ответы от MOGZ: Математика
logo
Вход Регистрация
Что ты хочешь узнать?
Спроси Mozg
Открыть лучший ответ