
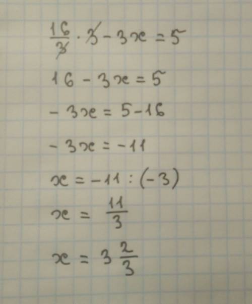
повторяется, поэтому вынесем это действие за скобку. Получим такое числовое выражение:
В ответе у нас получилось целое число. Значит можно считать утверждение "если каждое из двух чисел делится на
, то и их сумма делится на
.


,то их произведение делится на
" доказанным.
ответ:
25
пошаговое объяснение:
тебе "сказано", что на праздник нужно 250 бутылок.
при этом ты покупаешь упаковки по 6 бутылок в каждой, т.е. 1 уп. = 6 б.
значит ты просто берёшь необходимое количество бутылок (250) и делишь это число на количество бутылок , которые находятся в 1 упаковке, тем самым получая число 25 : )
если , то я решал таким образом: сколько нужно взять число "25", чтобы получить 250 ?
1 => 25
2 => 50
3 => 75
4 => 100
5=> 125 и так
25 => 250
надеюсь, чо объяснил доступно ; )