М
Молодежь
К
Компьютеры-и-электроника
Д
Дом-и-сад
С
Стиль-и-уход-за-собой
П
Праздники-и-традиции
Т
Транспорт
П
Путешествия
С
Семейная-жизнь
Ф
Философия-и-религия
Б
Без категории
М
Мир-работы
Х
Хобби-и-рукоделие
И
Искусство-и-развлечения
В
Взаимоотношения
З
Здоровье
К
Кулинария-и-гостеприимство
Ф
Финансы-и-бизнес
П
Питомцы-и-животные
О
Образование
О
Образование-и-коммуникации
nastalove22
nastalove22
18.12.2021 20:32 •  Математика

Найди сумму первых шести членов прогрессии ,если b2=4 , b4=1

👇
Ответ:
228465
228465
18.12.2021
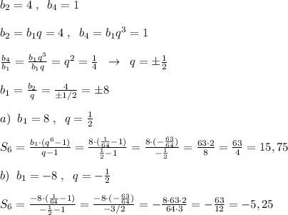
b_2=4\; ,\; \; b_4=1\\\\b_2=b_1q=4\; ,\; \; b_4=b_1q^3=1\\\\ \frac{b_4}{b_1}=\frac{b_1q^3}{b_1q}=q^2=\frac{1}{4}\; \; \to \; \; q=\pm \frac{1}{2}\\\\b_1= \frac{b_2}{q}=\frac{4}{\pm 1/2}=\pm 8\\\\a)\; \; b_1=8\; ,\; \; q=\frac{1}{2}\\\\S_6=\frac{b_1\cdot (q^6-1)}{q-1}=\frac{8\cdot (\frac{1}{64}-1)}{\frac{1}{2}-1}=\frac{8\cdot (-\frac{63}{64})}{-\frac{1}{2}}=\frac{63\cdot 2}{8}=\frac{63}{4}=15,75\\\\b)\; \; b_1=-8\; ,\; \; q=-\frac{1}{2}\\\\S_6=\frac{-8\cdot (\frac{1}{64}-1)}{-\frac{1}{2}-1}=\frac{-8\cdot (-\frac{63}{64})}{-3/2}=-\frac{8\cdot 63\cdot 2}{64\cdot 3}=-\frac{63}{12}=-5,25
4,5(37 оценок)
Открыть все ответы
Ответ:
Yan116
Yan116
18.12.2021
1) 980 * 3 = 2940(кг) картофеля собрали со "-ого участка
2) 980 + 2940 = 3920 (кг) картофеля собрали всего
3) 3920 * 1/5 = 784(кг) разложили в мешки
4) 784 : 16 = 49(мешков) понадобилось для раскладки 784 кг
5) 3920 - 784 = 3136(кг) надо ещё разложить в мешки
6) 3136 : 16 = 196 (мешков) понадобиться ещё
7) 196 + 49 = 245 (мешков) всего
ответ 245 мешков понадобиться для раскладки всего картофеля.


1) 980 * 3 = 2940(кг) картофеля собрали со 2-ого участка
2) 2940 + 980 = 3920 (кг) картофеля собрали с 2-х участков
3) 3920 : 16 = 245(мешков)
ответ: 245 мешков понадобиться для раскладки всего картофеля.
4,6(62 оценок)
Ответ:
Жак104
Жак104
18.12.2021
кг - со 2 участка

 

2940+980=3920 кг - всего картофеля

3920/5=784 кг - пятая часть

784/ 16=49 кг - в 1 мешке

3920/49=80 мешков Чтобы разложить пятую часть нужно 16 мешков, значит для всего картофеля нужно в 5 раз больше мешков.

16*5=80 мешков

 

2)два яблока режутся на 3 части, а остальные три яблока на 2 части. каждый мальчик берет треть яблока и его половинку. 

 

10 яблок разделить на 3 части а 1 яблоко на 2 части получится 32 . 32:12=3

 

 

 

 

 

 

 

 

 

 

 

 

 

 

 

 

 

 

 

 

 

 

 

 

 

 

 

 

 

 

 

 

 

4,4(47 оценок)
Новые ответы от MOGZ: Математика
logo
Вход Регистрация
Что ты хочешь узнать?
Спроси Mozg
Открыть лучший ответ